«Bienvenidos a mi estudio personal»Soy Carlos Ruz Leiva. Durante décadas, mi vida transcurrió en las aulas universitarias de Santiago, explorando el rigor de la Matemática y la fascinante aplicación de la Física en la ingeniería. Hoy, desde la tranquilidad de mi jubilación, abro las puertas de este espacio digital no como una oficina, sino como una extensión de mi biblioteca y mi sala de música.En este sitio no encontrarás servicios comerciales ni consultorías pagadas. Lo que aquí comparto es mi legado académico: apuntes sobre Resistencia de Materiales, reflexiones sobre Estática, Dinámica y Electromagnetismo, y la visión de un Magíster en Matemática que nunca dejó de ser estudiante.
Mis weblogs
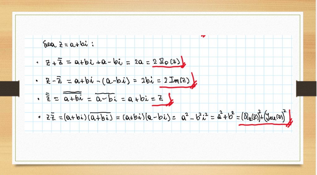
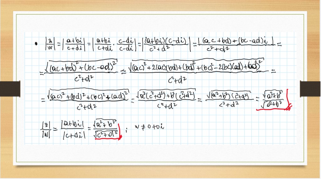
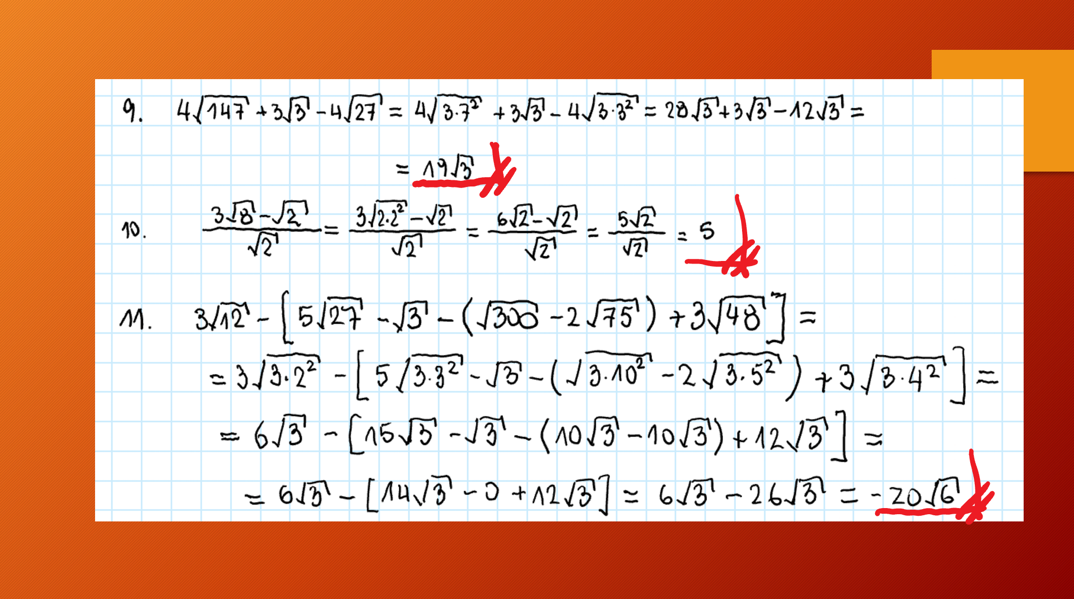
Álgebra: https://algebracarlosruz.wordpress.com/
Cálculo 1: https://calculo1carlosruz.wordpress.com/
Álgebra Lineal: https://carlosruzleiva.com/?page_id=6072
Cálculo 2: https://calculo2carlosruz.wordpress.com/
Cálculo 3: https://calculo3carlosruz.wordpress.com/
Curso de Cálculo Integral:https://carlosruzleiva.com/clases-de-calculo/
Curso de Nivelación 2012: https://carlosruzleiva.com/curso-de-nivelacion-2012/
Curso de Nivelación 2013: https://carlosruzleiva.com/curso-de-nivelacion-2013/
Curso de Nivelación 2014:https://carlosruzleiva.com/curso-de-nivelacion-2014/
Curso de Nivelación 2015:https://carlosruzleiva.com/curso-de-nivelacion-2015/
Curso de Nivelación 2017:https://carlosruzleiva.com/curso-de-nivelacion-2017/
Ecuaciones Diferenciales: https://ecuacionesdiferencialescarlosruz.wordpress.com/
Electromagnetismo: https://electromagcarlosruz.wordpress.com/
Estática: https://estaticacarlosruzleiva.wordpress.com/
Resistencia de Materiales: https://resistenciadematerialescarlosruz.wordpress.com/
Comportamiento estructural de materiales: https://carlosruzleiva.com/comportamiento-estructural-de-materiales/
Clases de Dinámica:https://carlosruzleiva.com/2021/05/01/clases-de-dinamica/
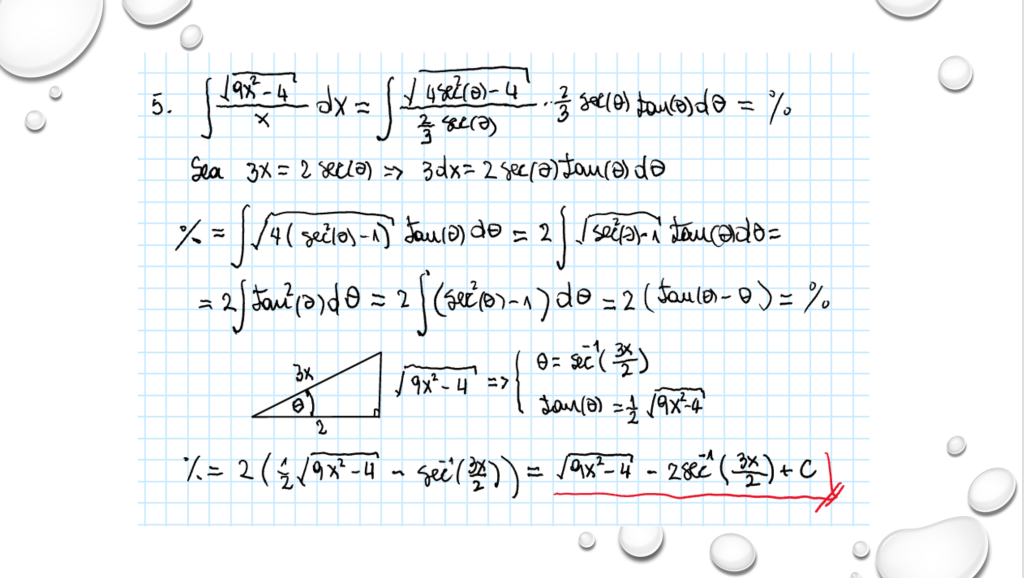
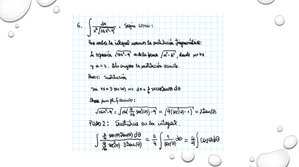
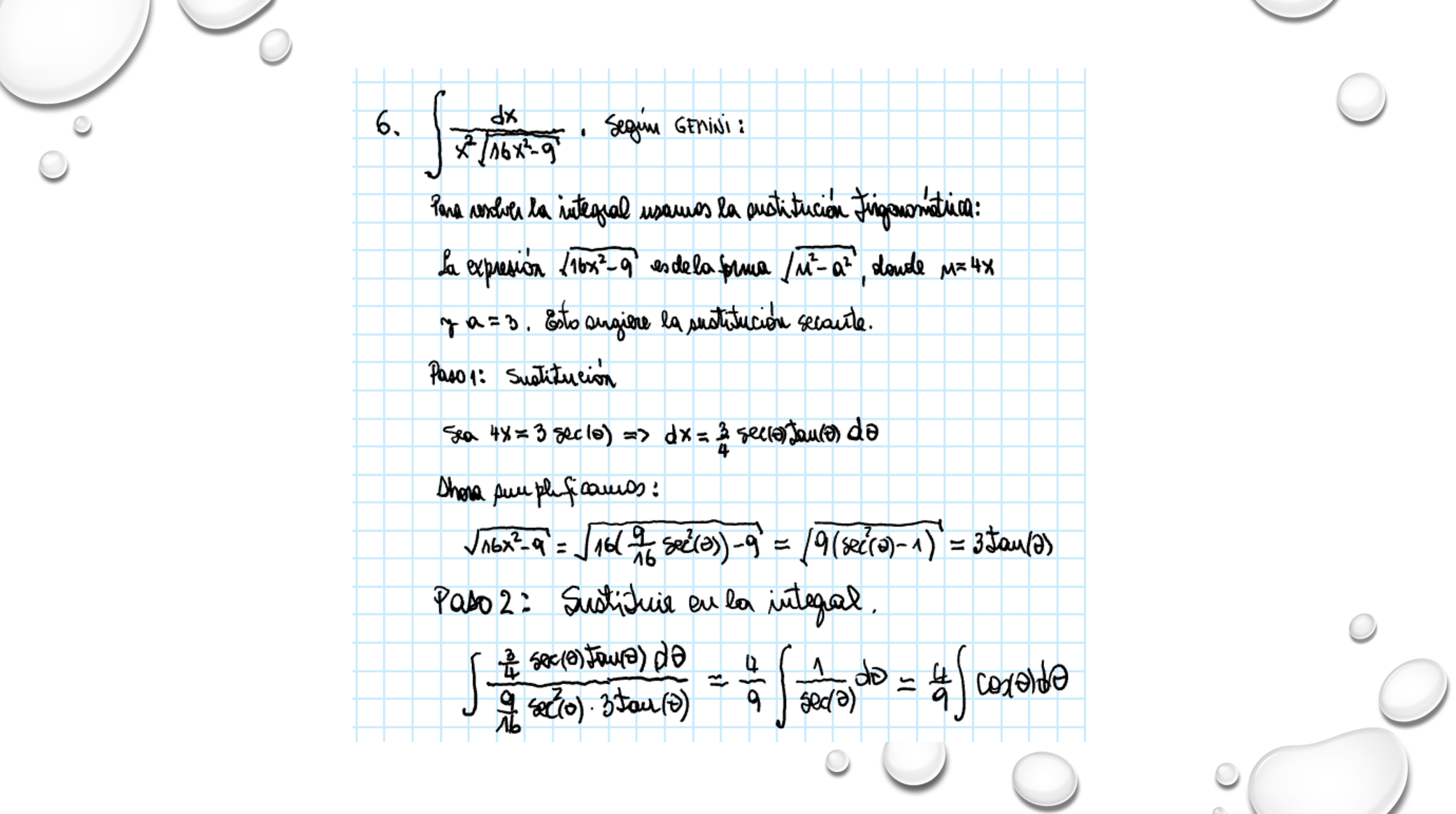
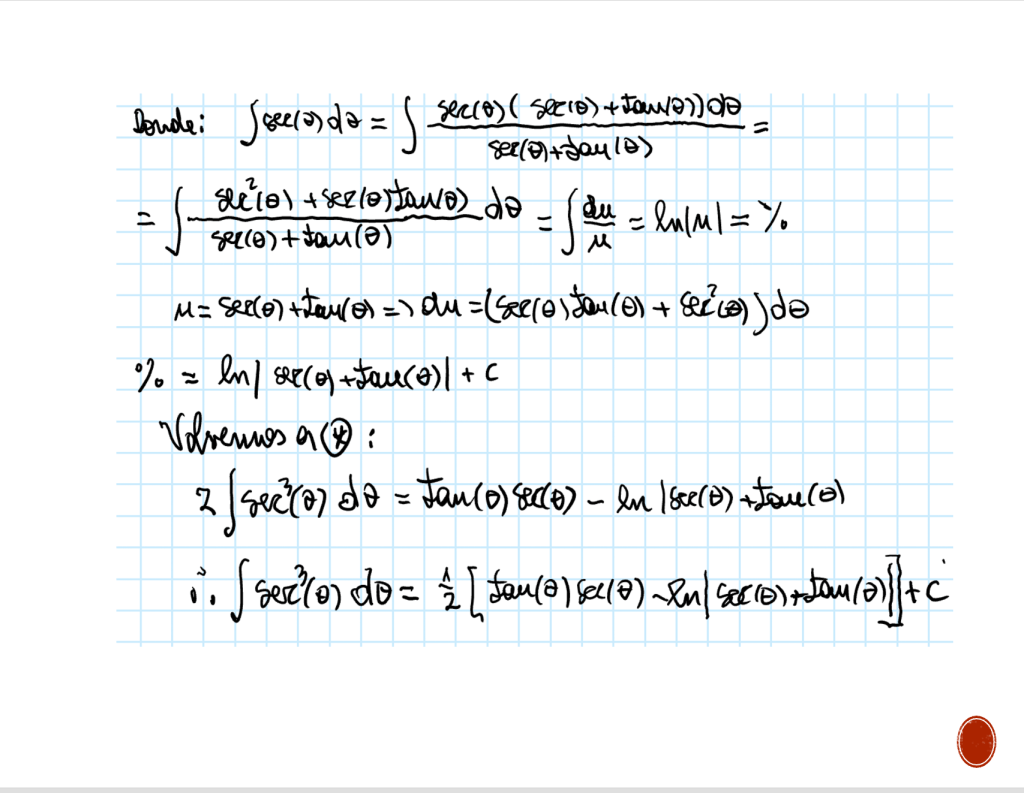
Integrales Indefinidas Fracciones Parciales usando IA, con GEMINI

















































































































Uso de IA, en este ejemplo, con GEMINI






































































































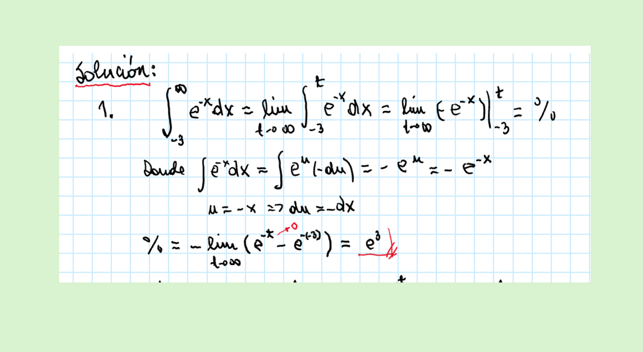
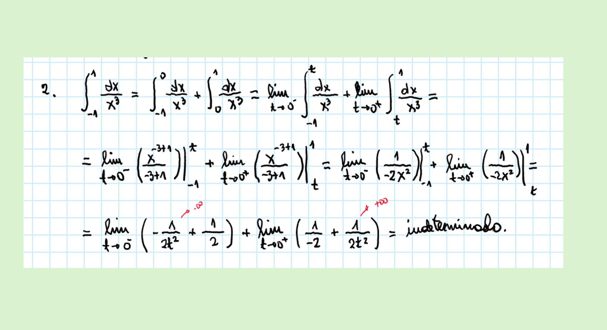
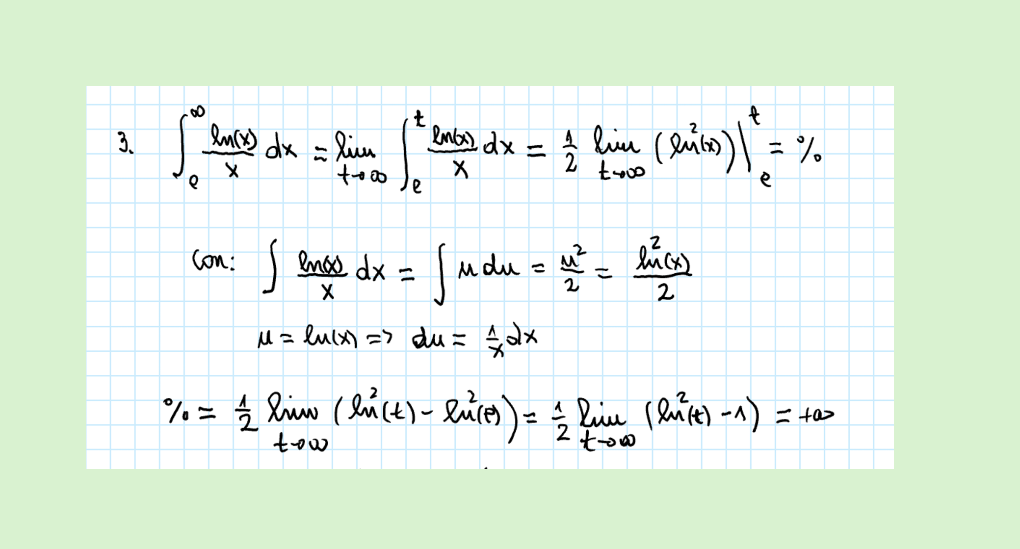
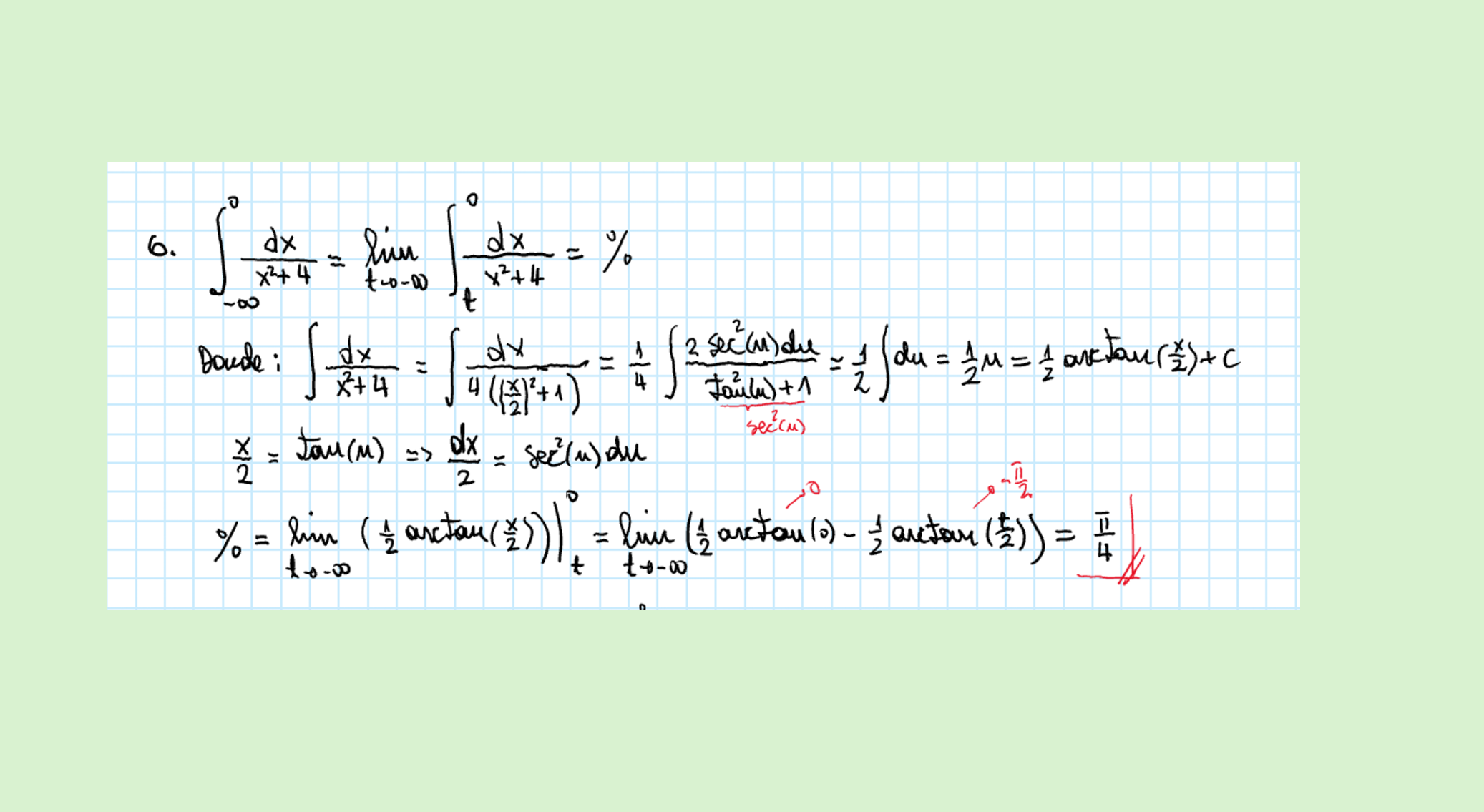
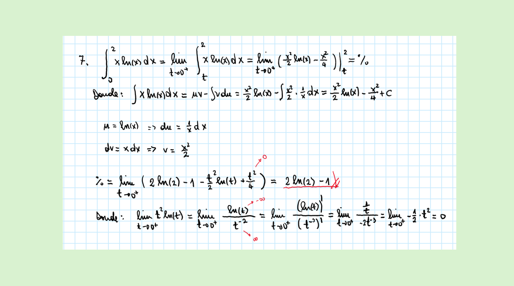
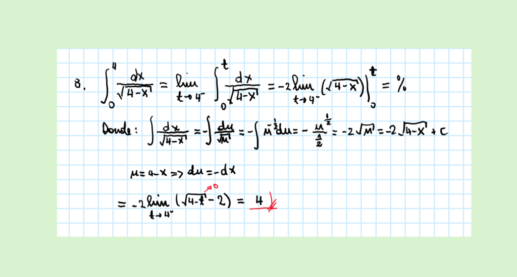
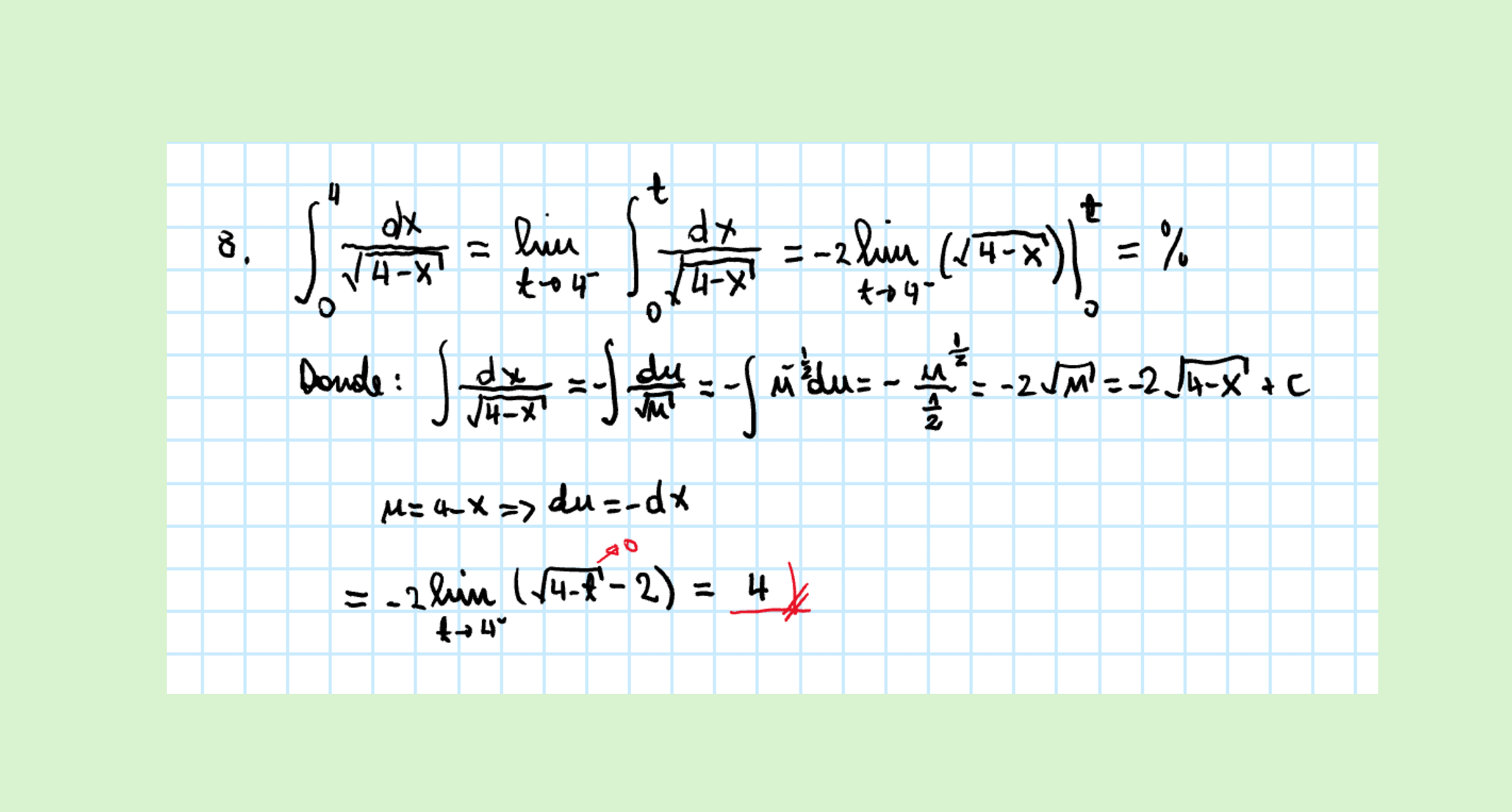
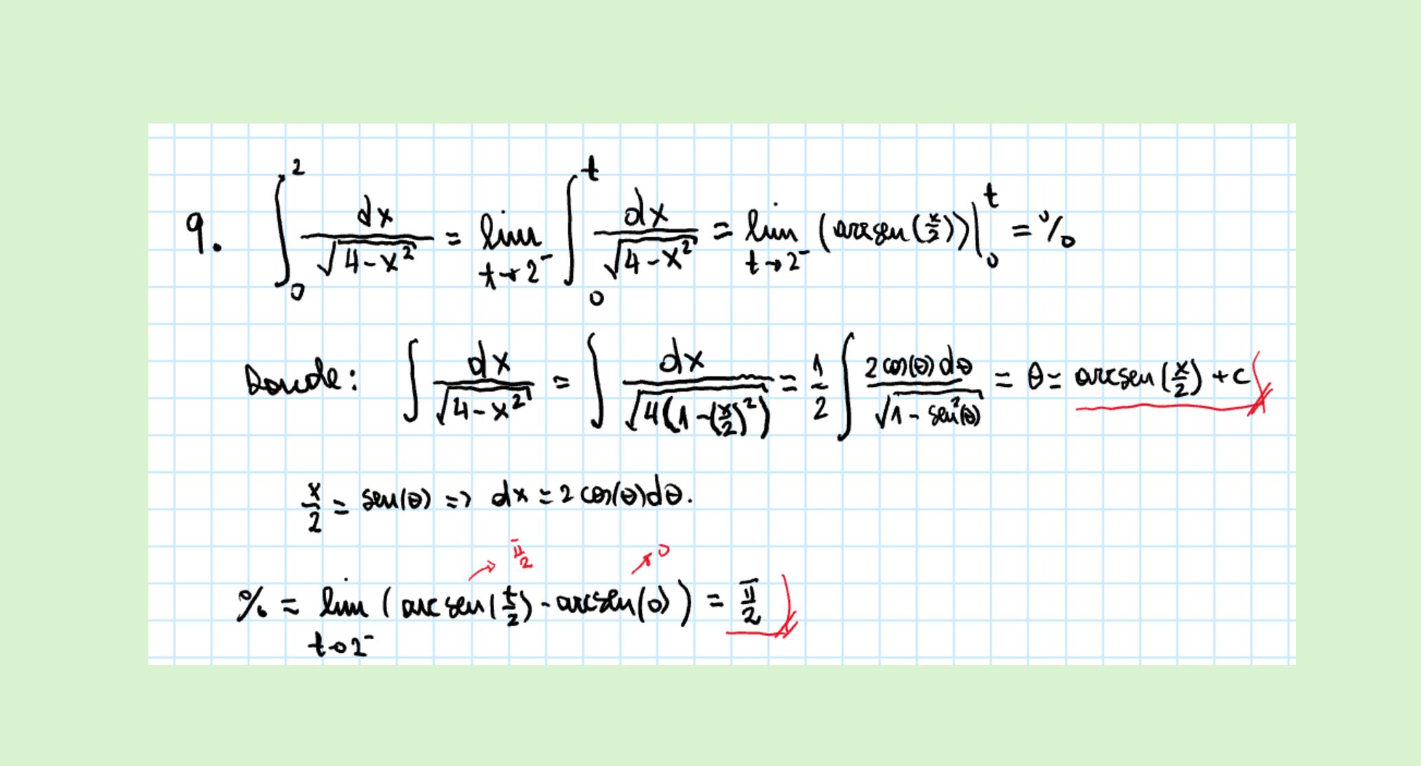
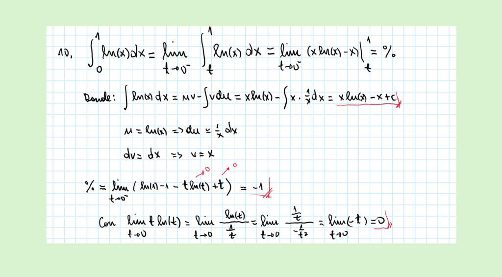
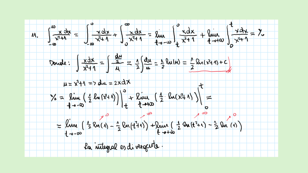
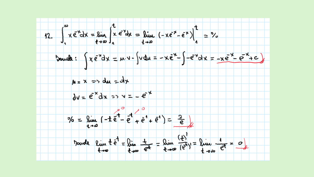
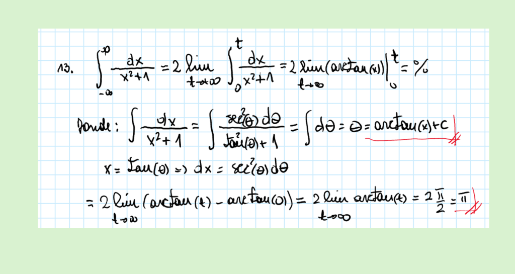
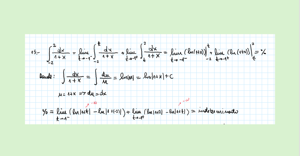
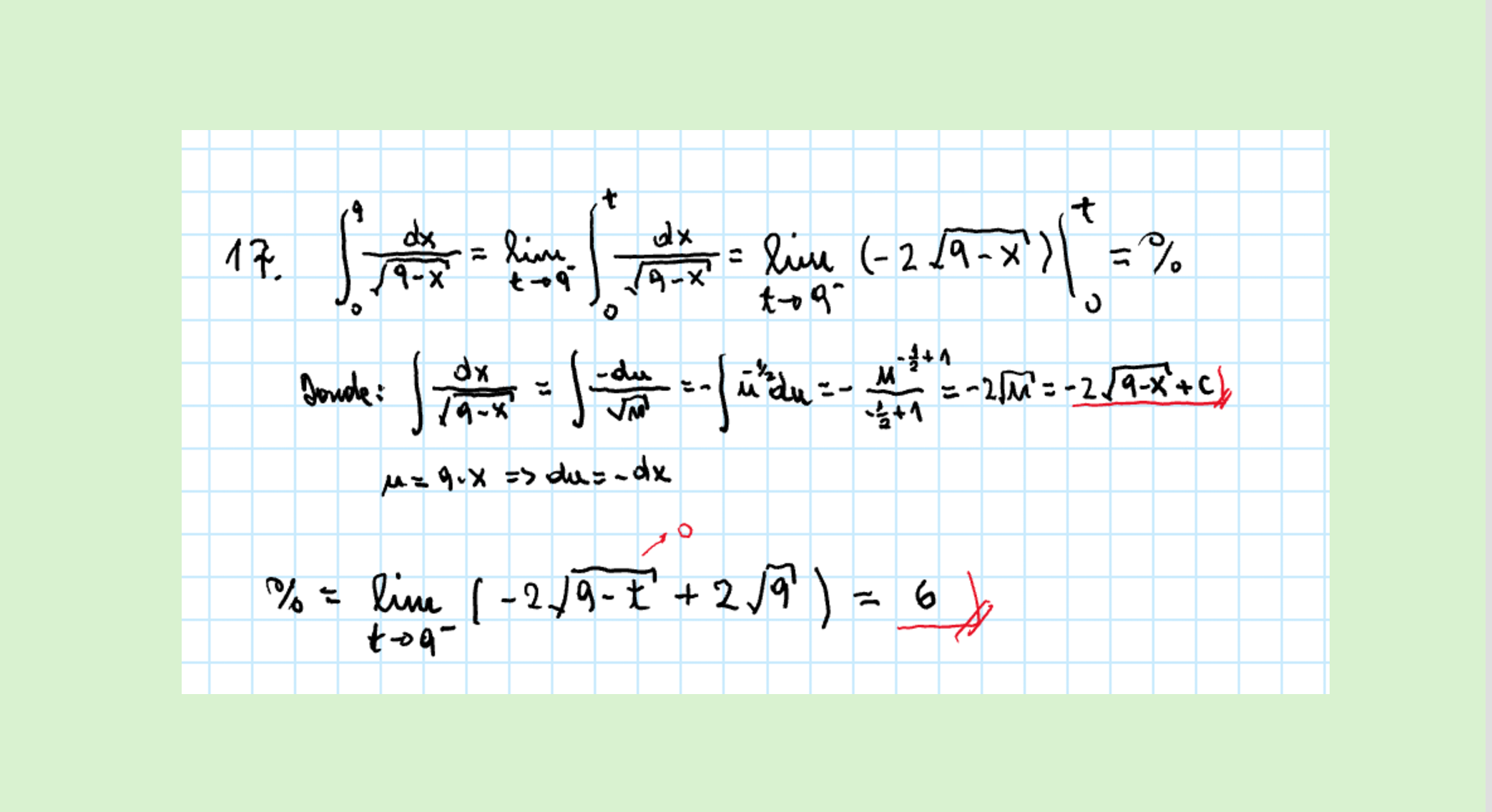
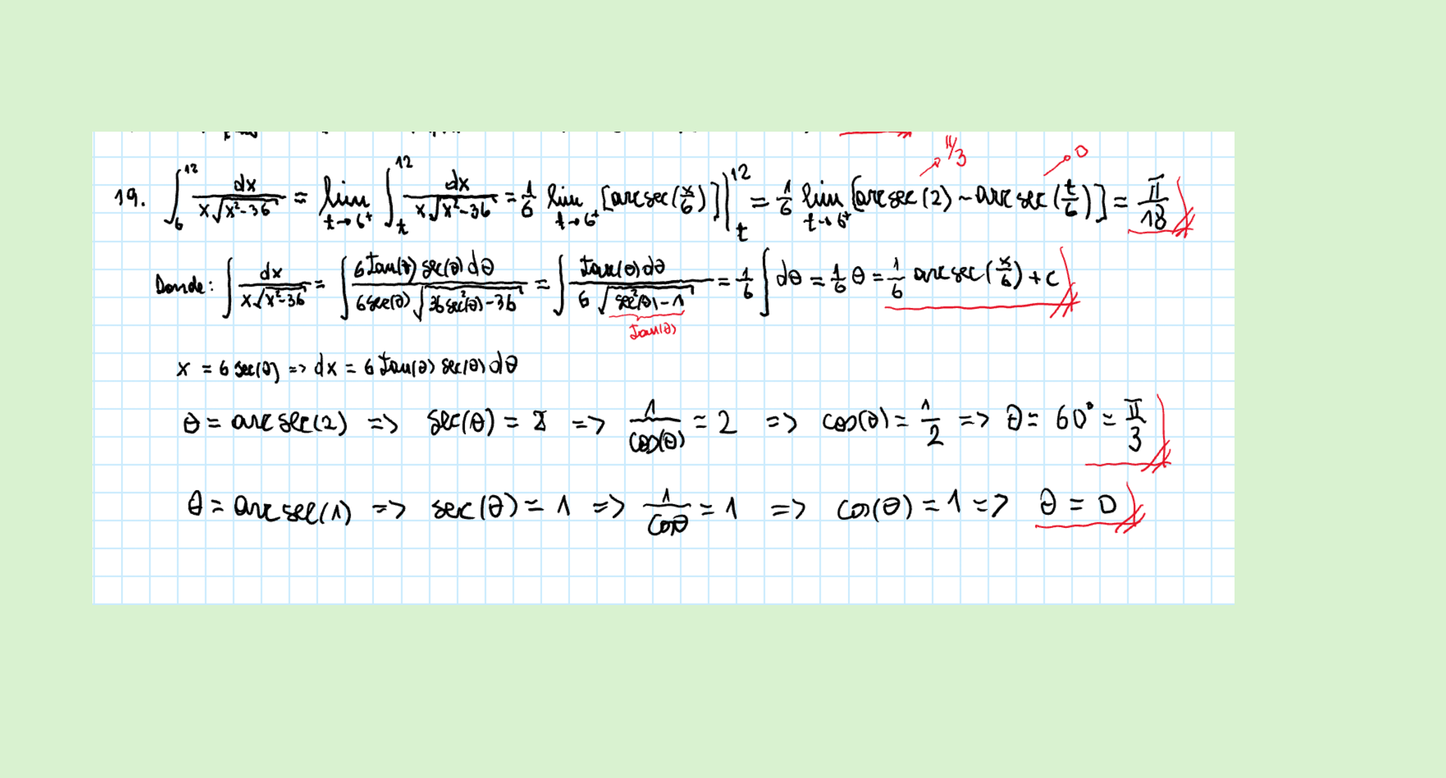
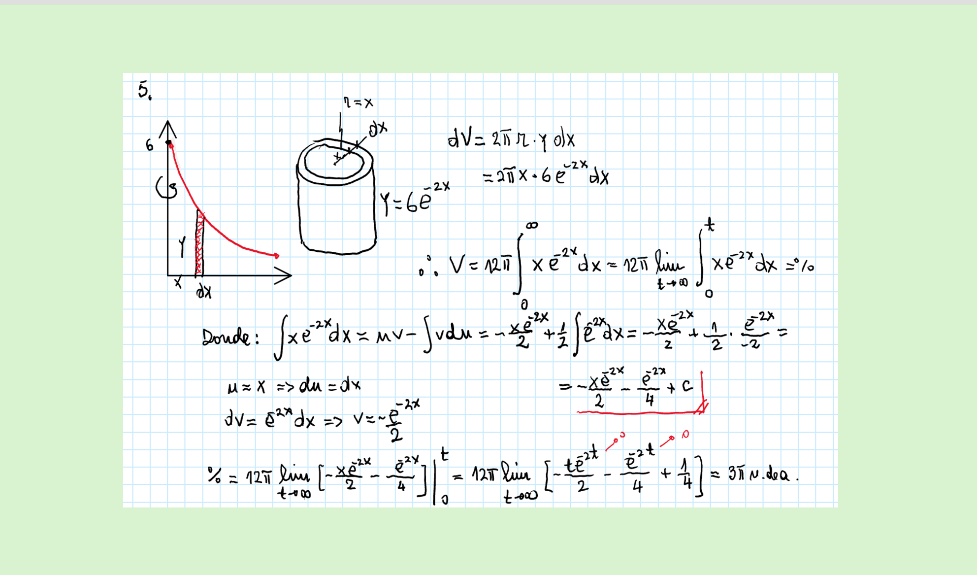
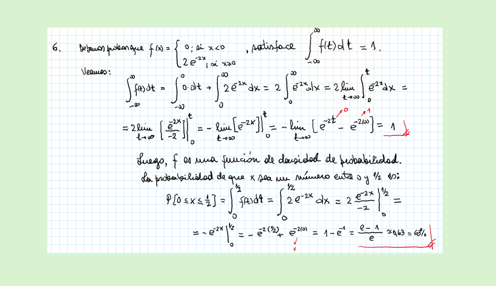
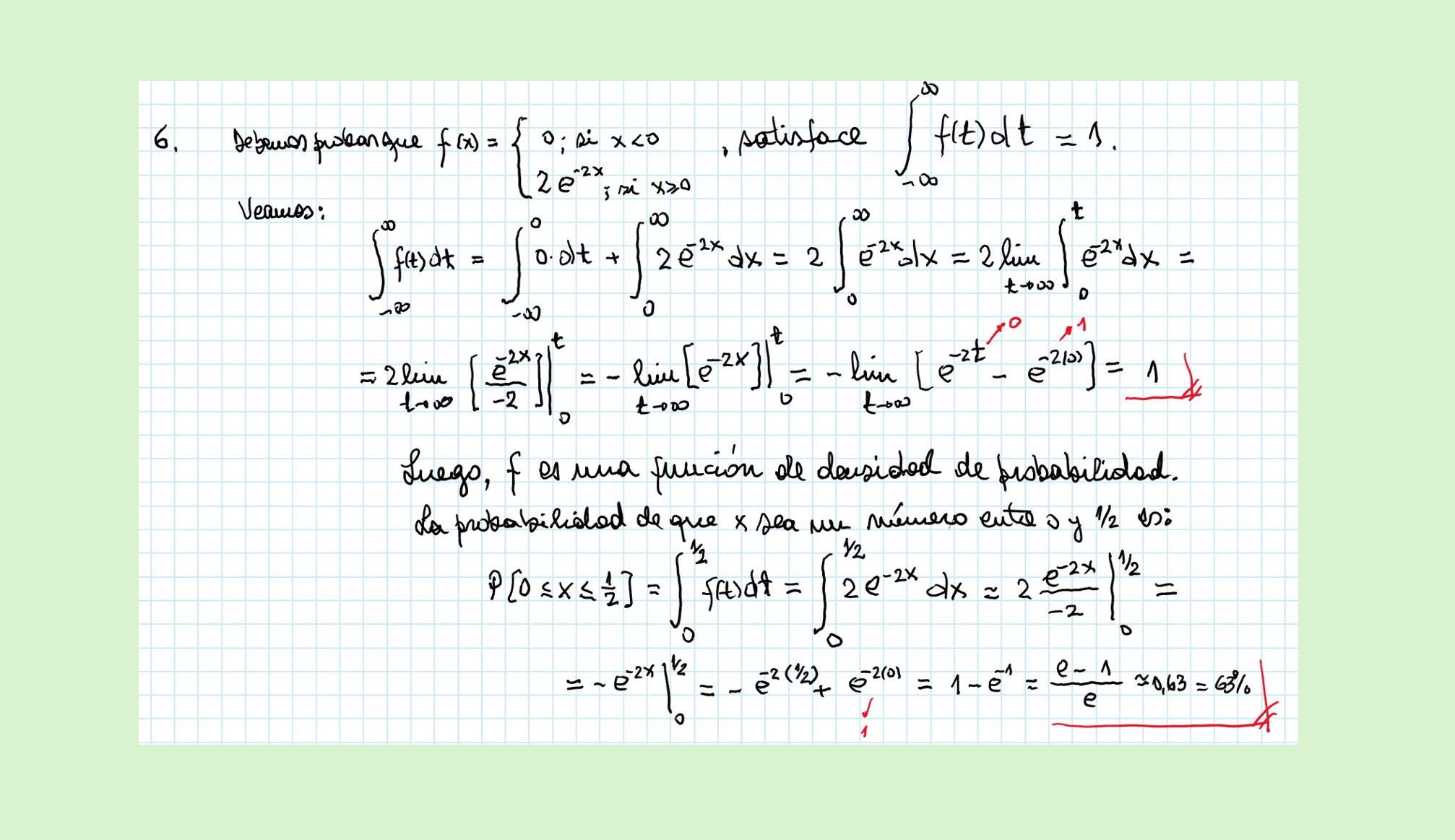
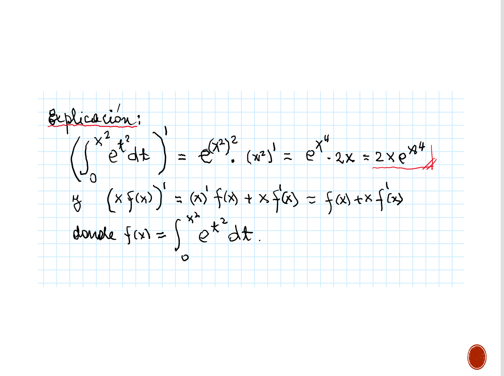
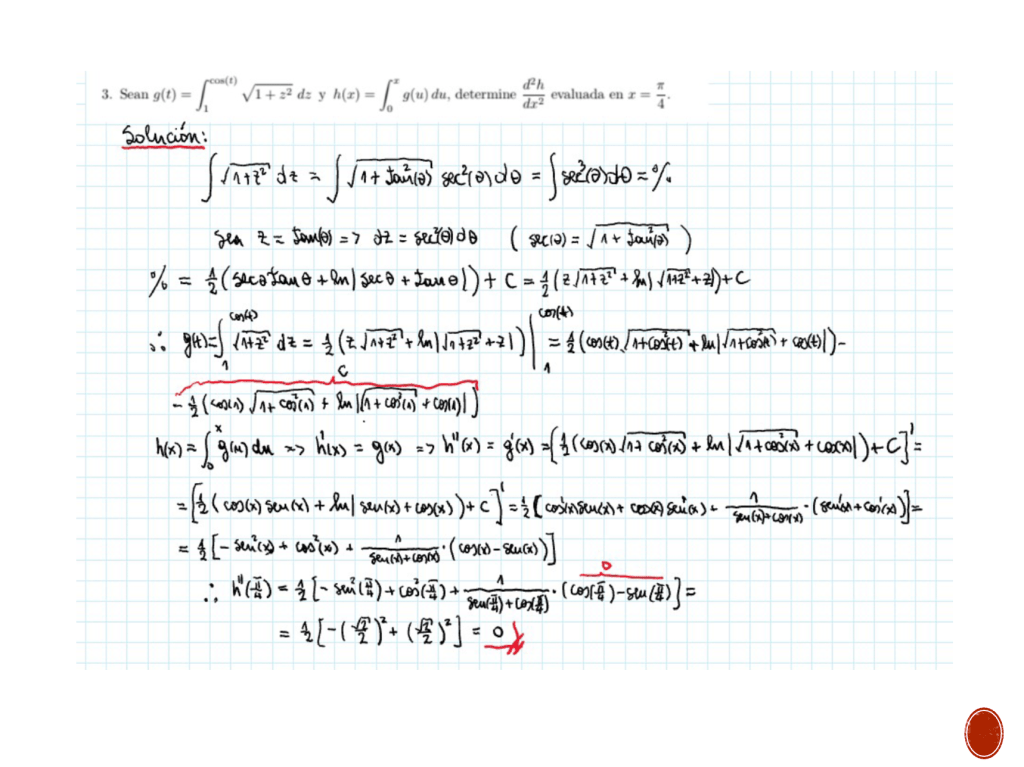
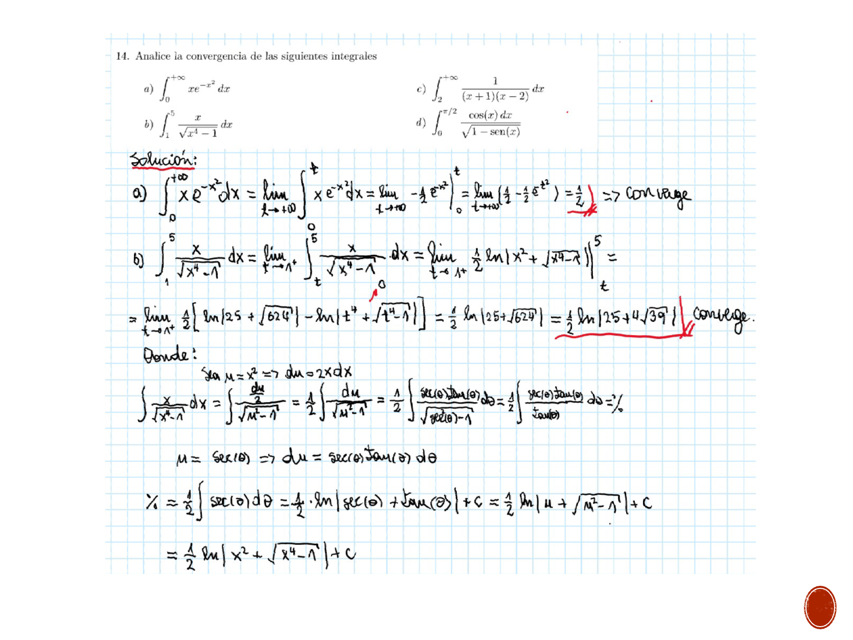
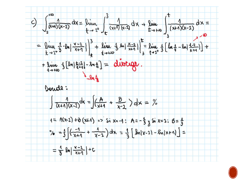
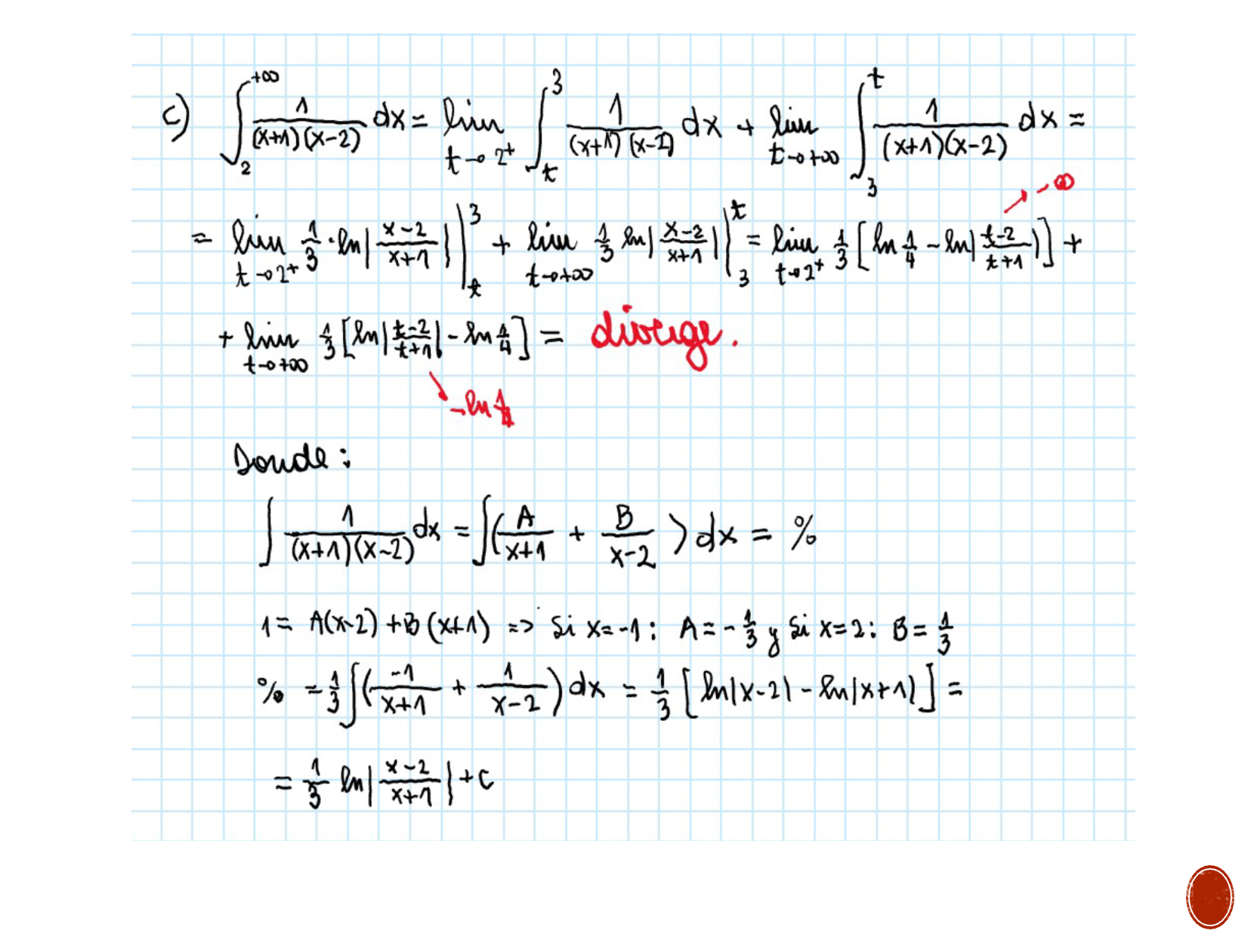
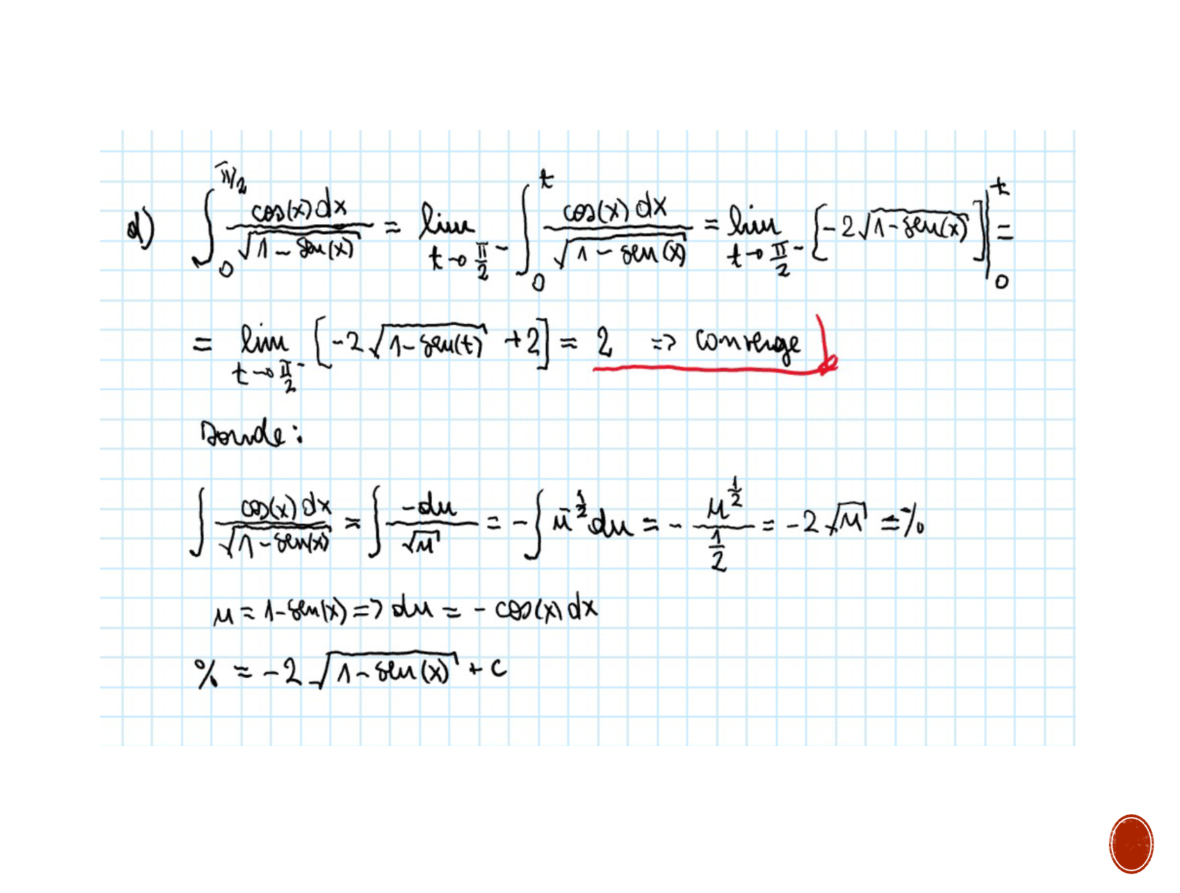
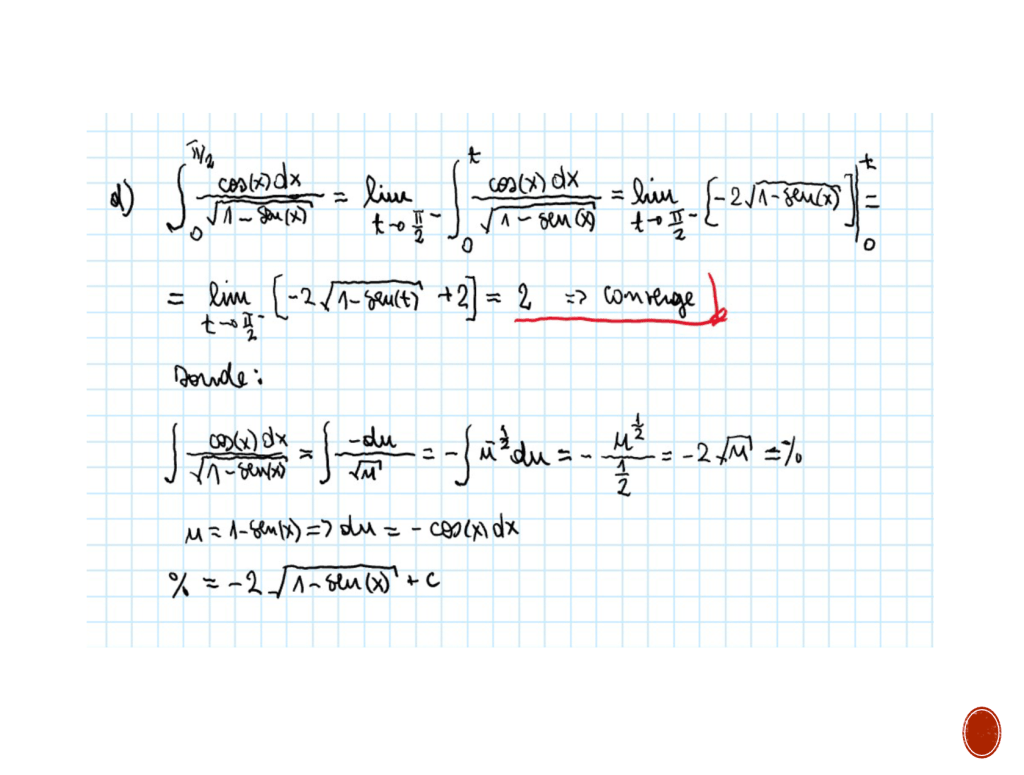
Integrales Impropias





























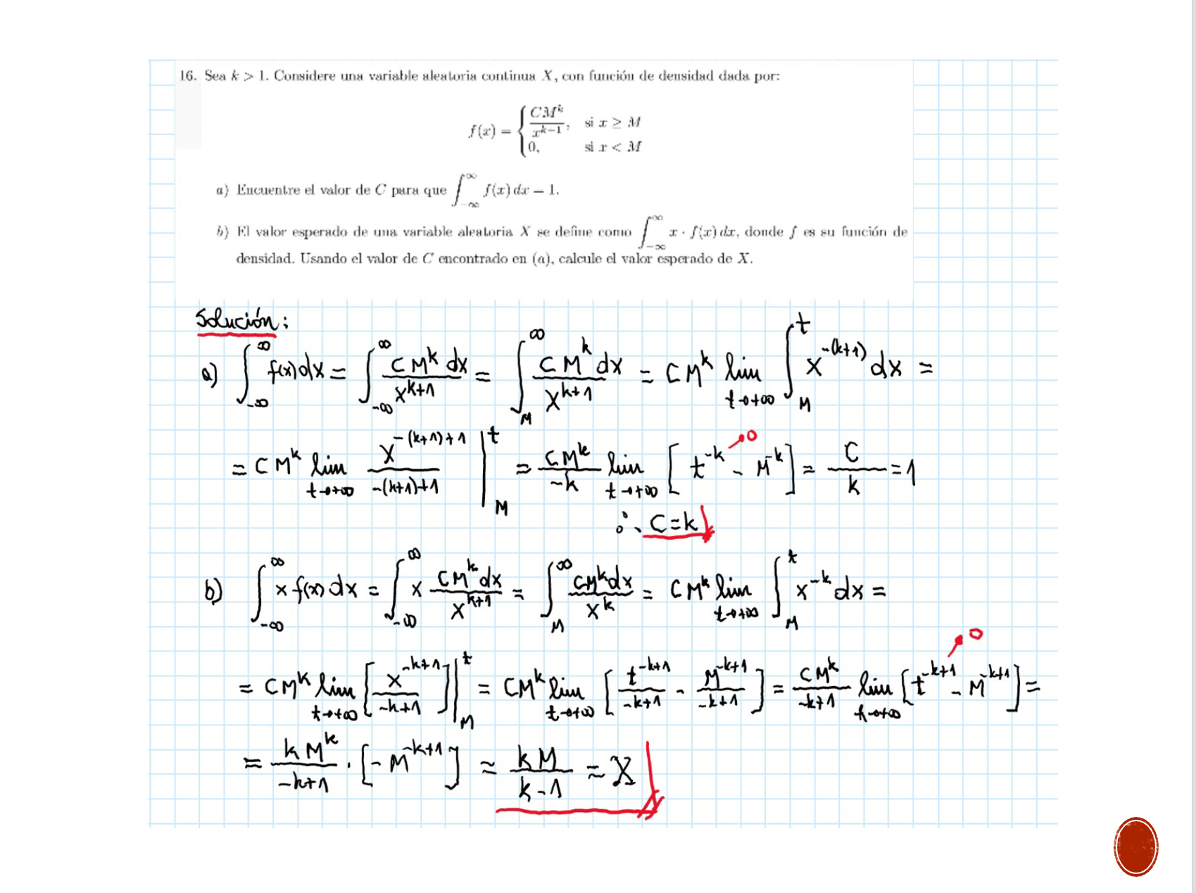
Trabajo de Investigación en Estadística








































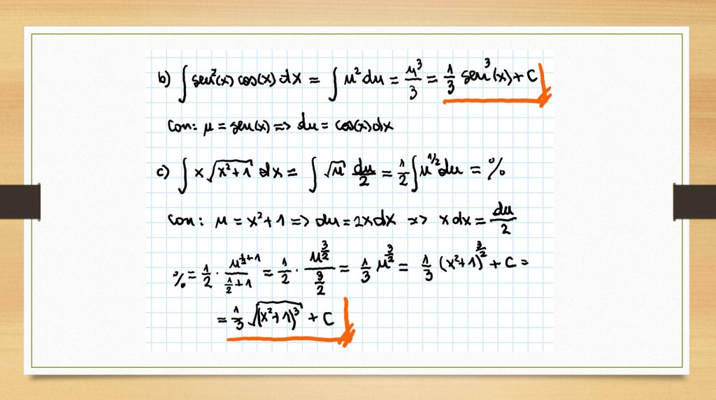
Guía de Cálculo II






























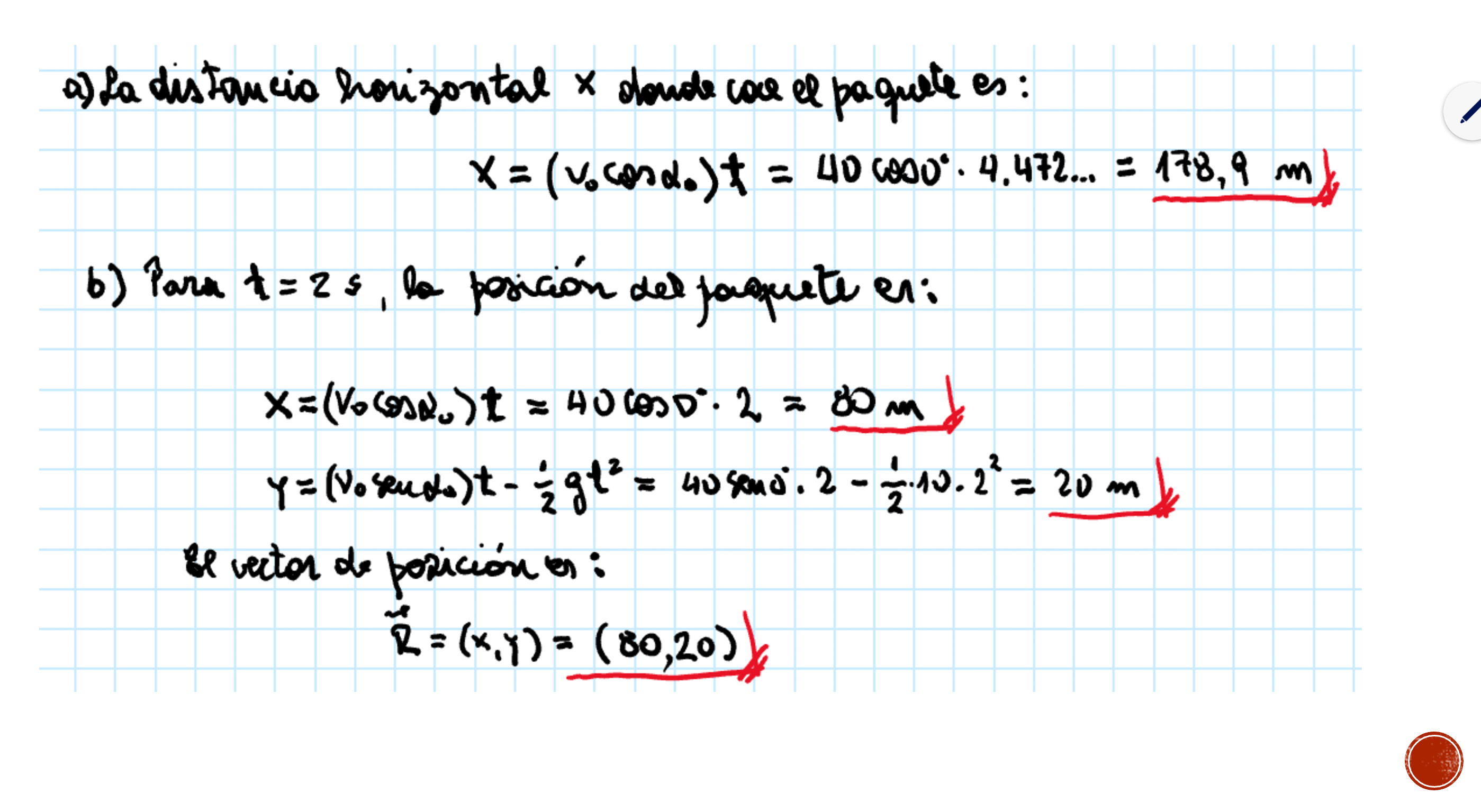
Guía Movimiento Acelerado












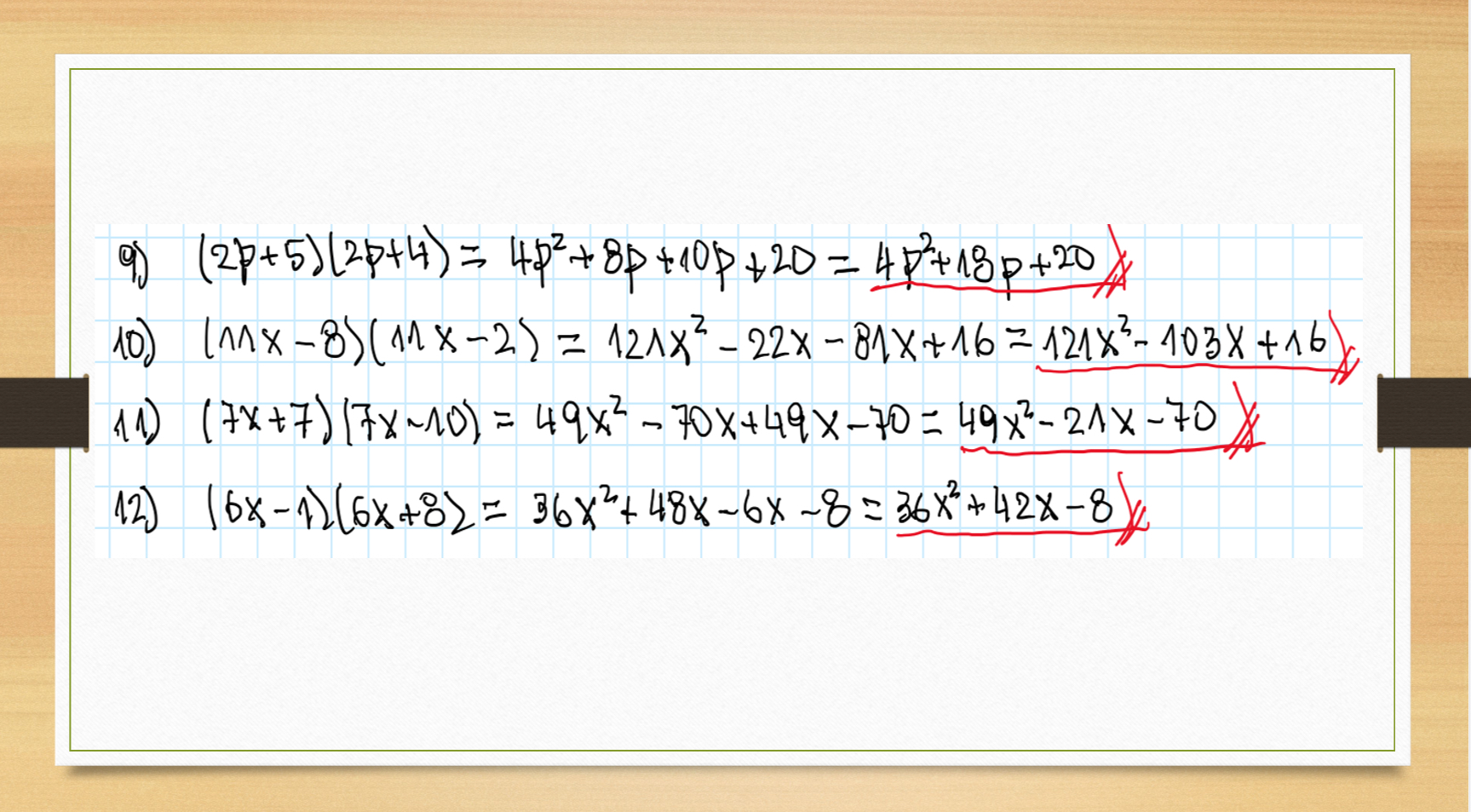
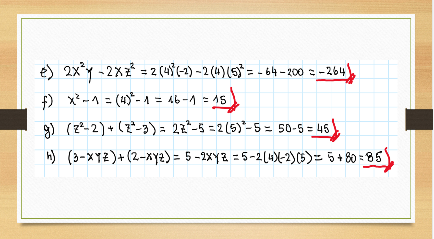
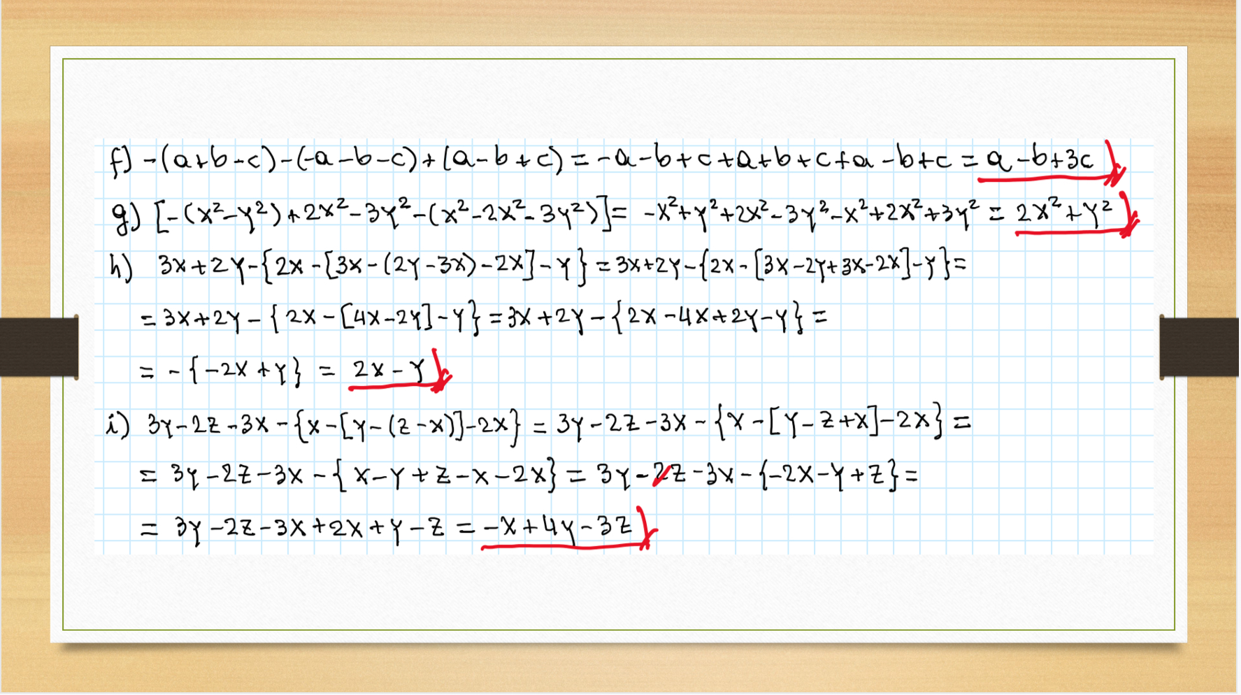
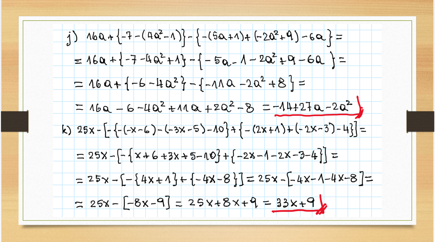
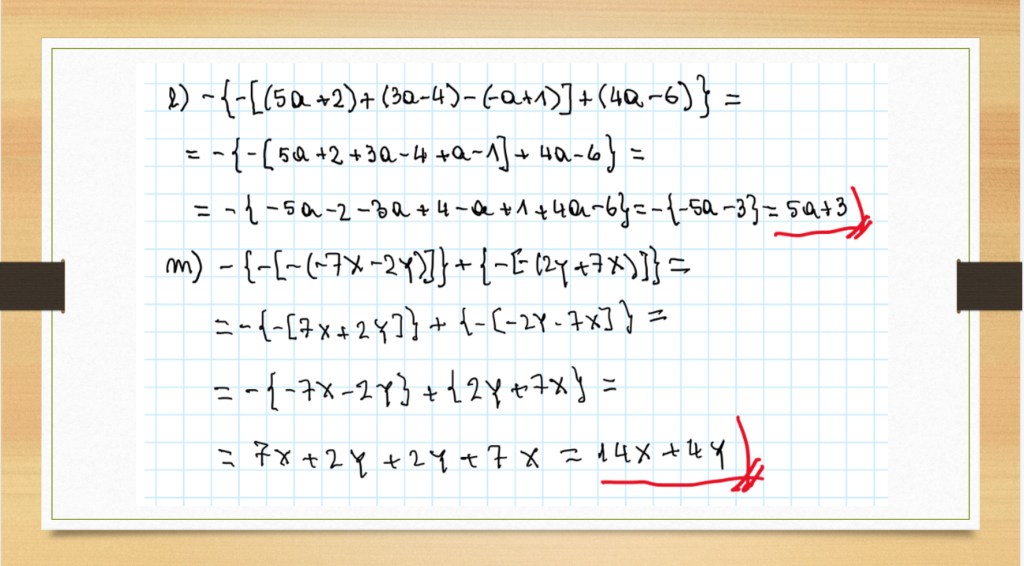
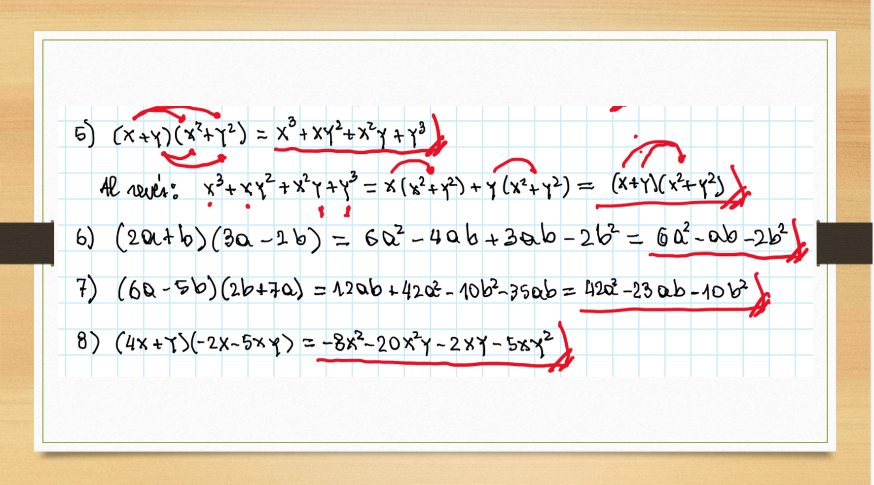
Ejercicios de Álgebra


























Trabajo y Energía













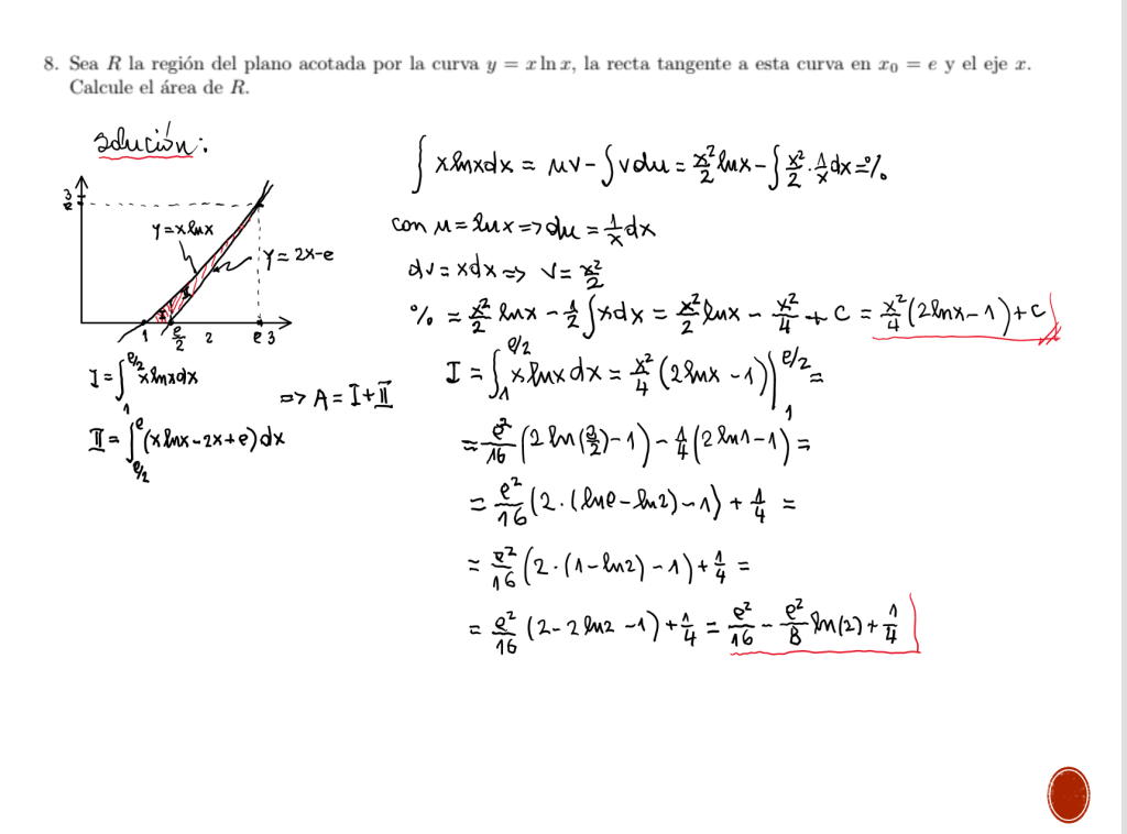
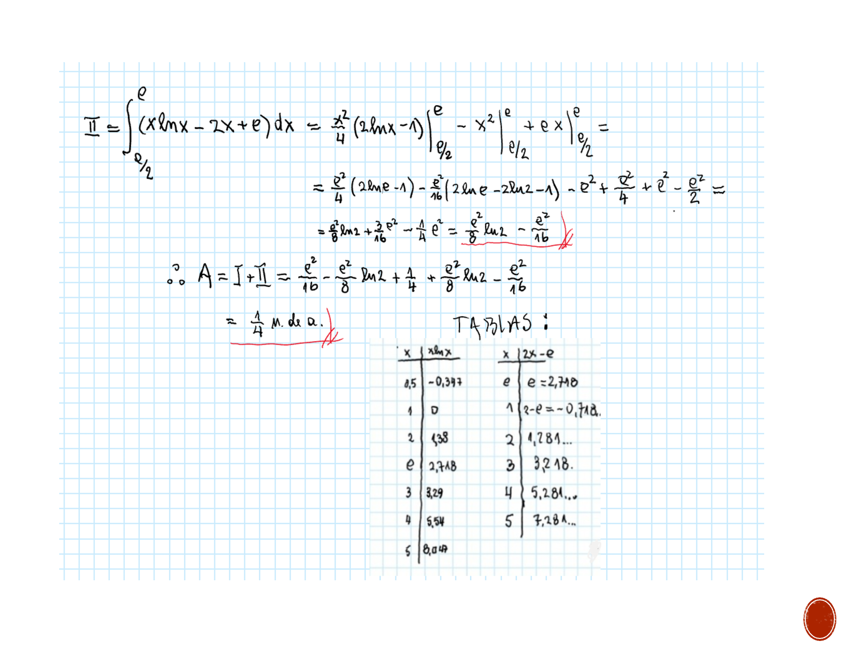
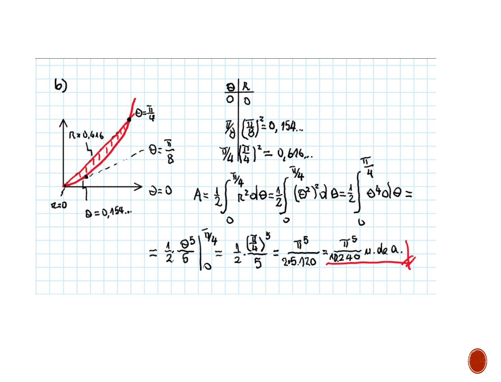
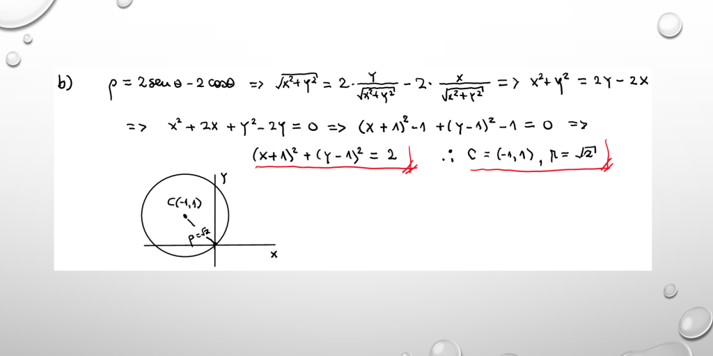
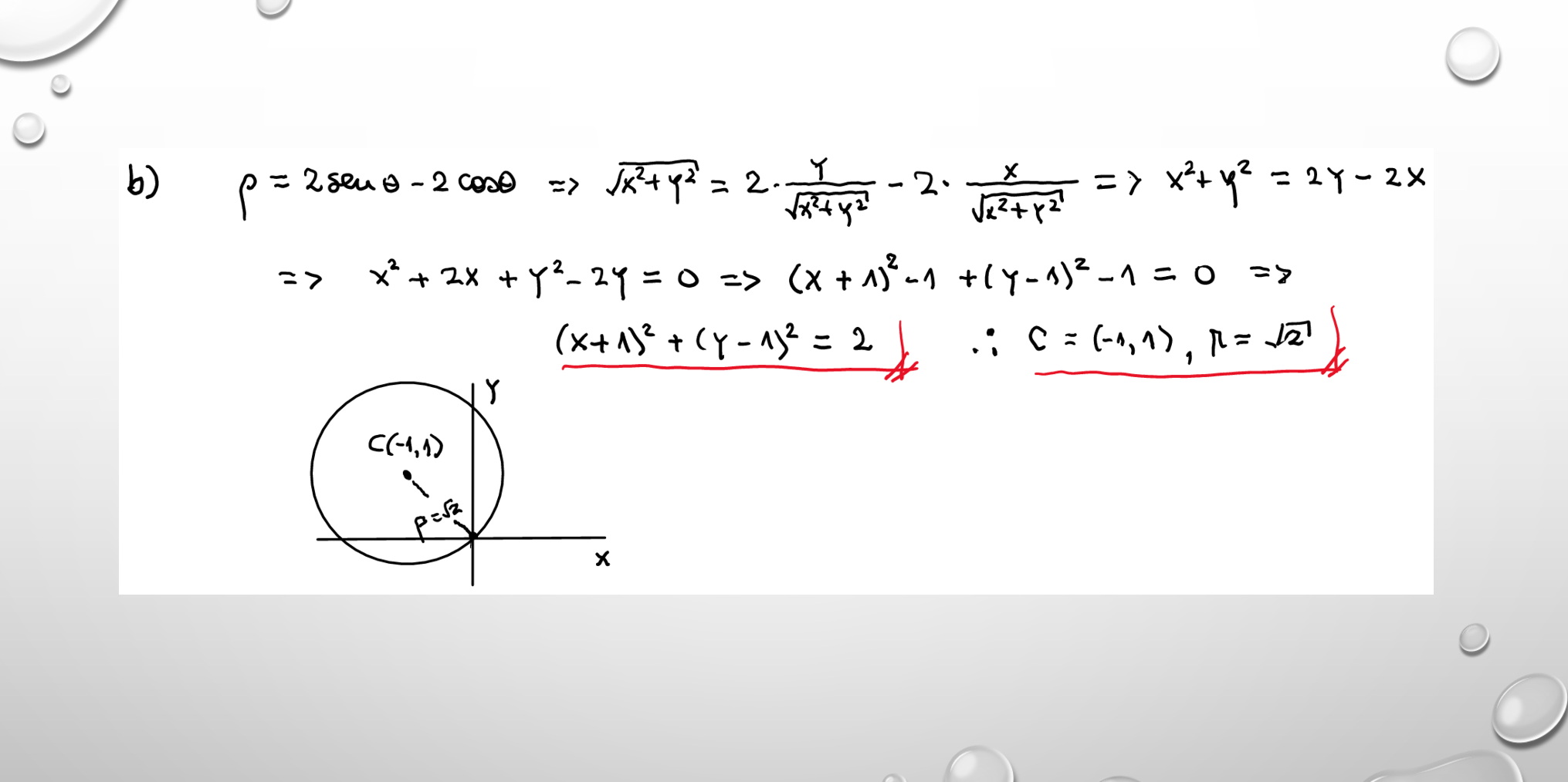
Coordenadas Polares









Homotecia





























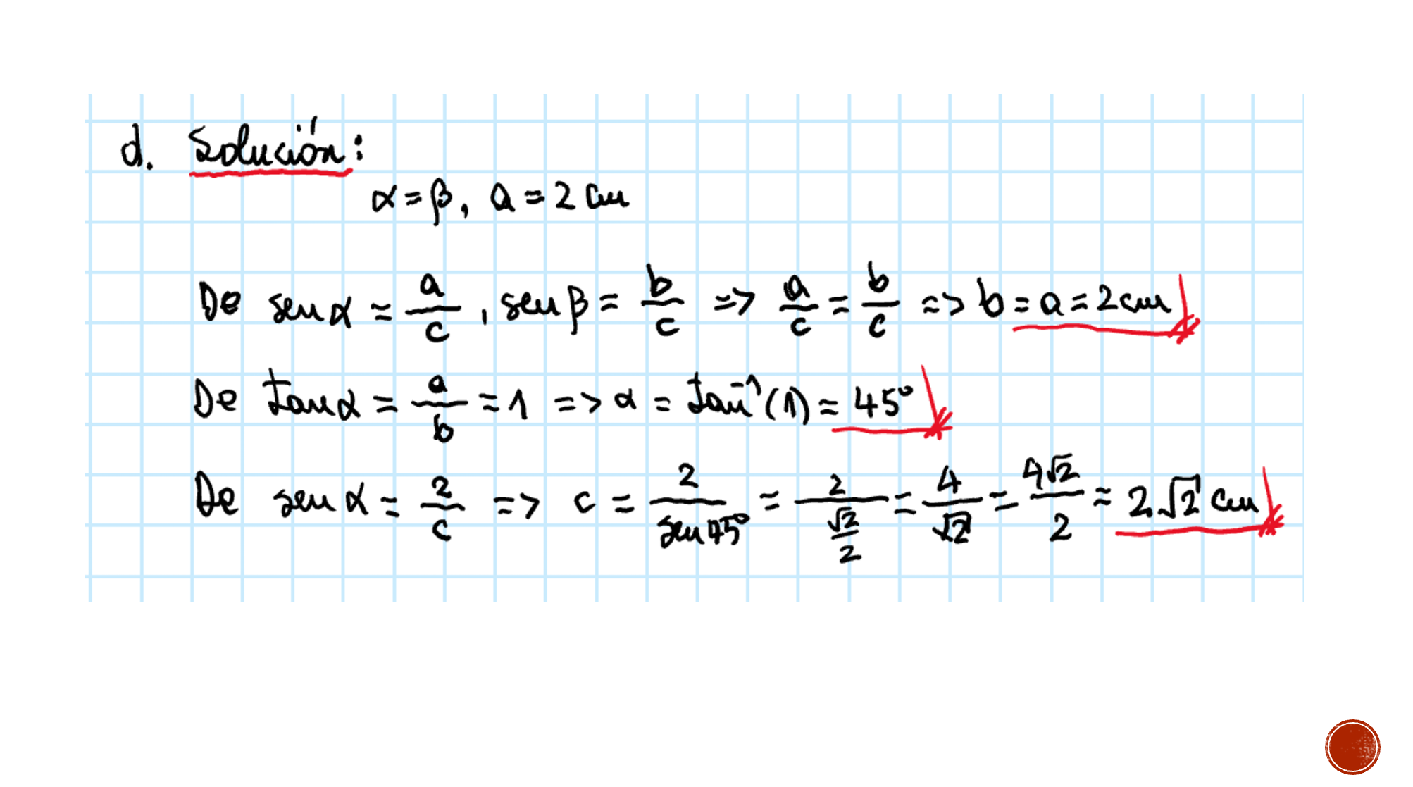
Introducción a la trigonometría



























Taller N°5









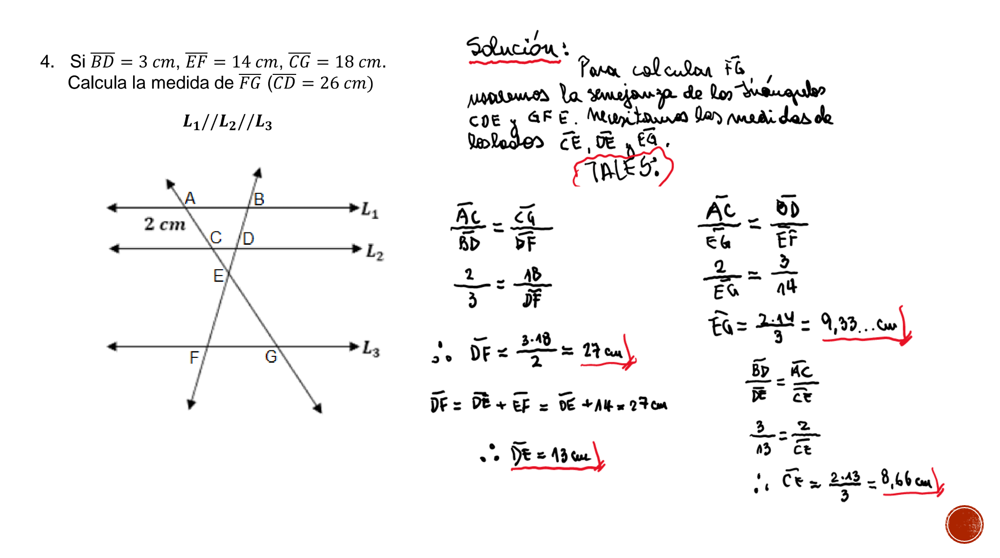
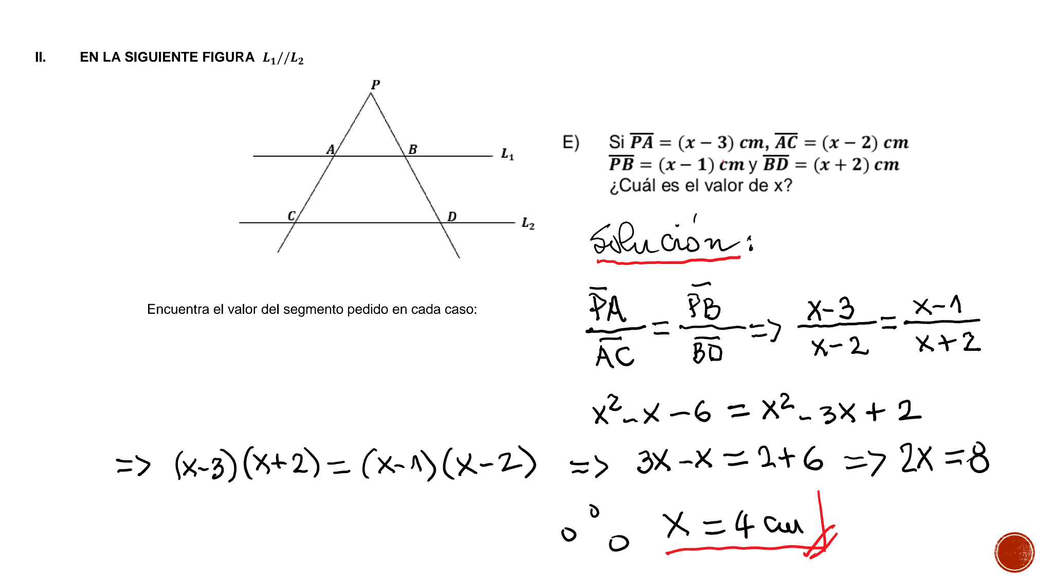
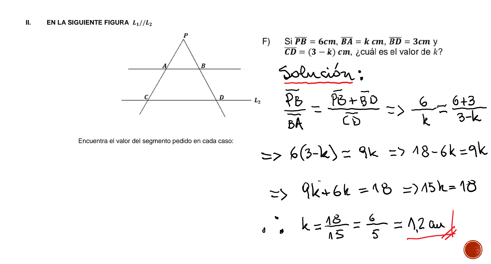
Teorema de Tales
















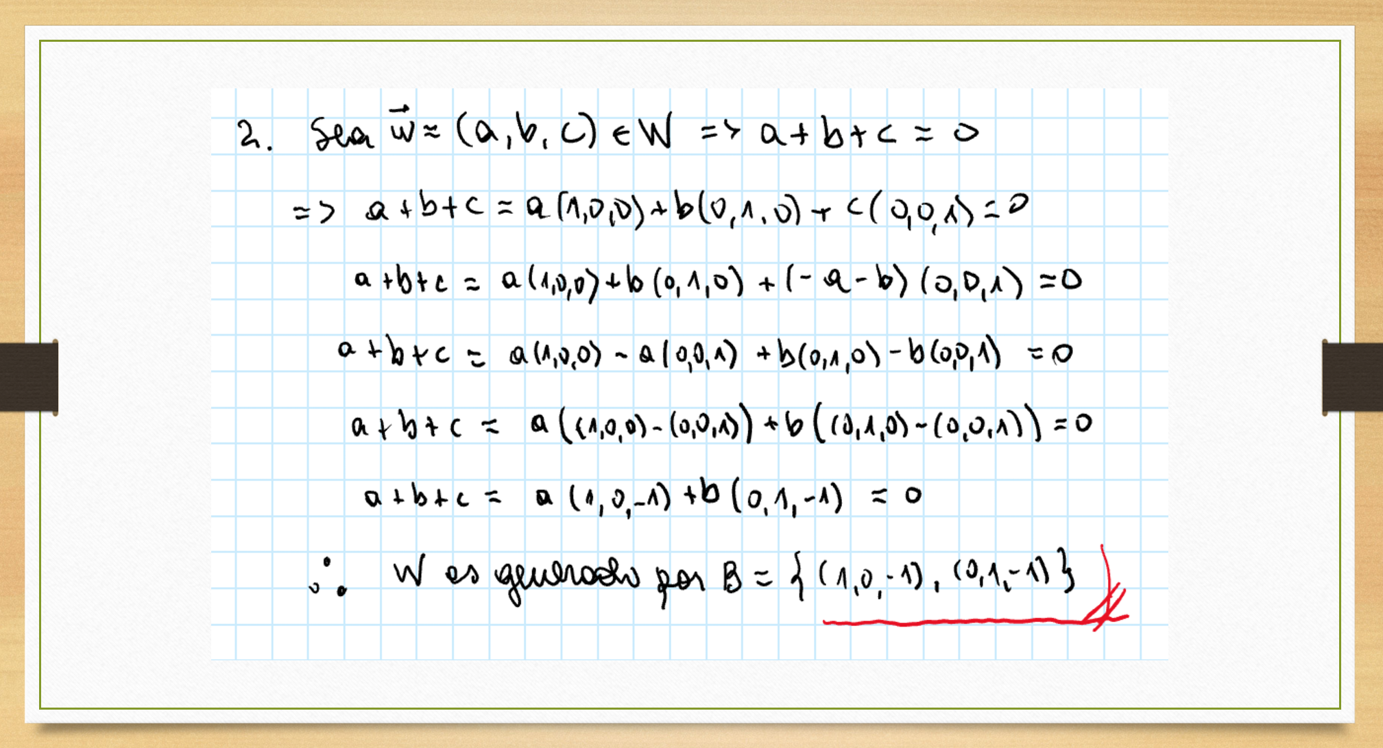
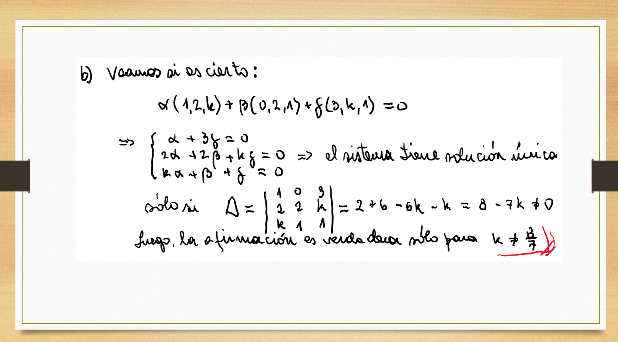
Álgebra Lineal: Taller No 4











Guía de Aplicación «Semejanza de figuras geométricas»



















Guía de Aplicación «Círculo y circunferencia»


























Ayudantía 2 (cinemática)







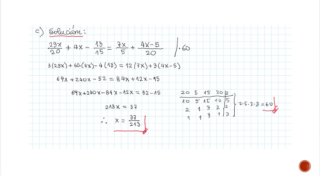
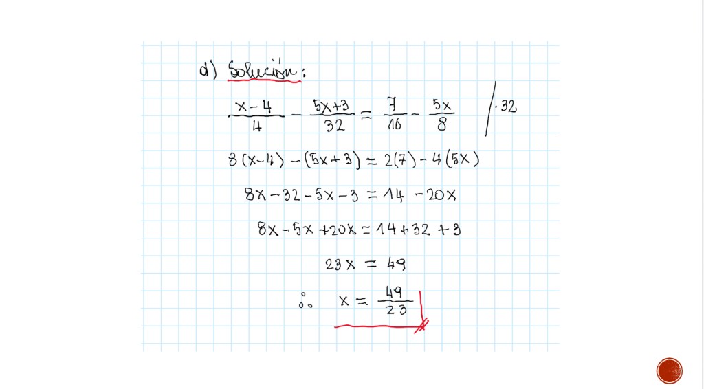
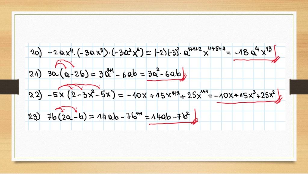
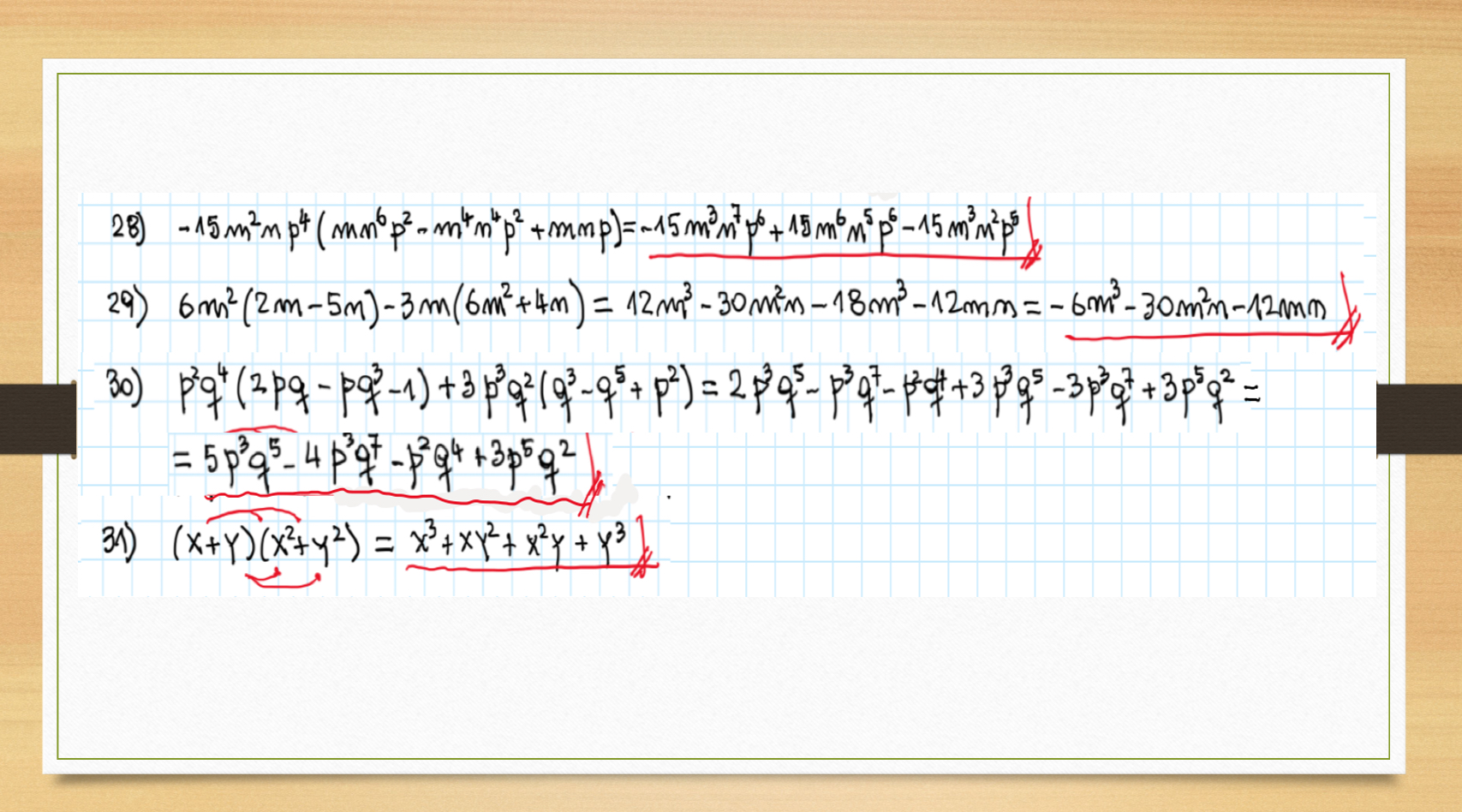
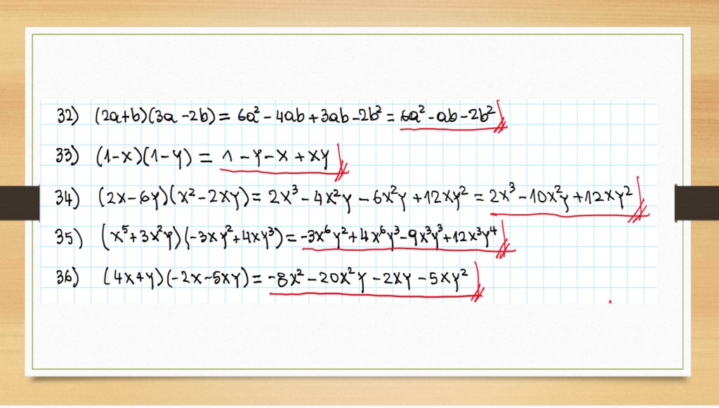
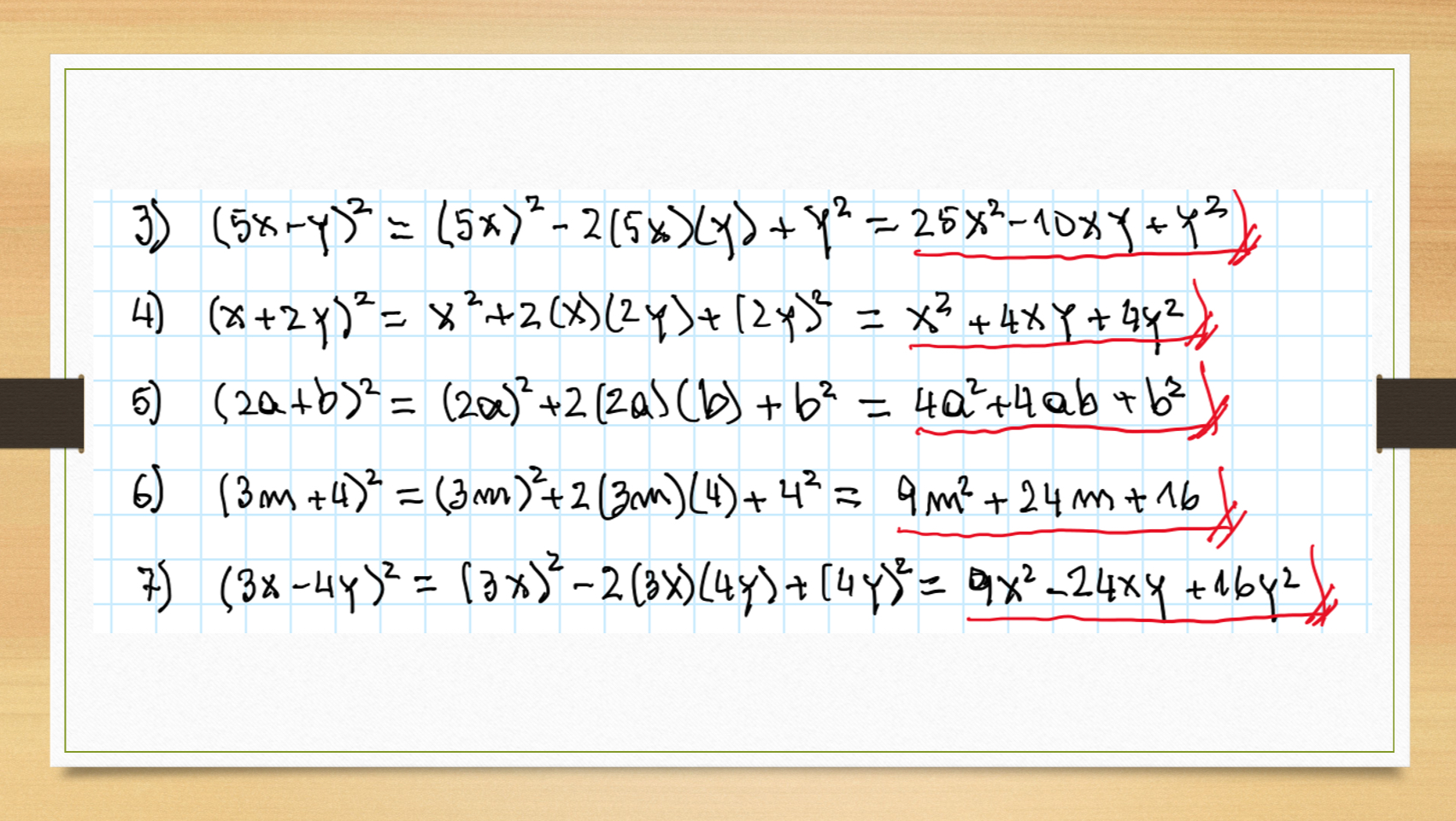
Ejercicios de Álgebra







































Cálculo II: Ayudantía N°1









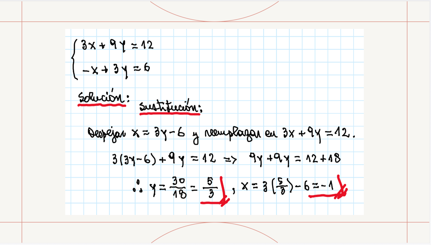
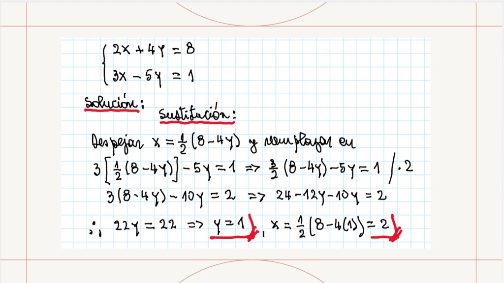
Guía 3: Sistemas de Ecuaciones y Problemas



































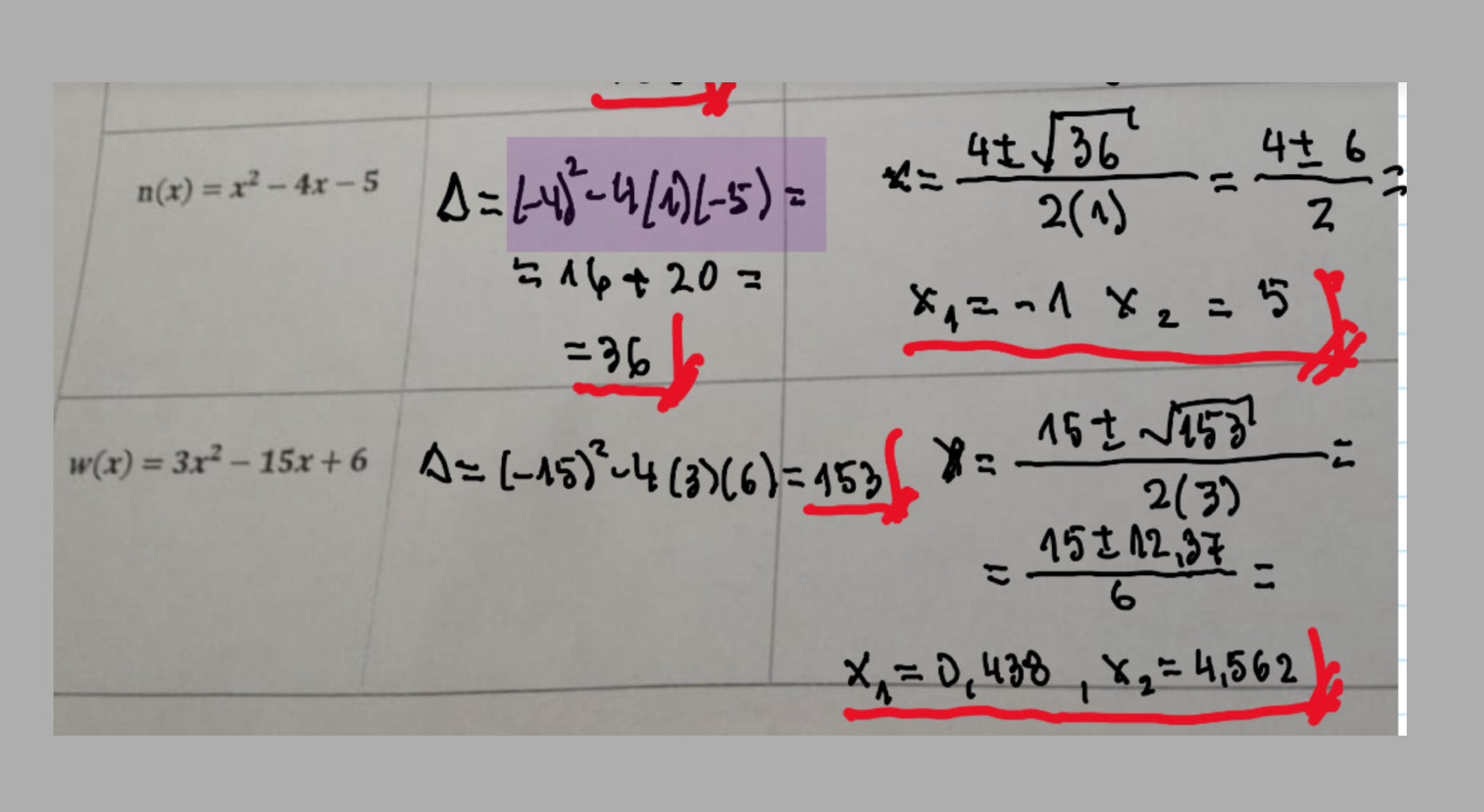
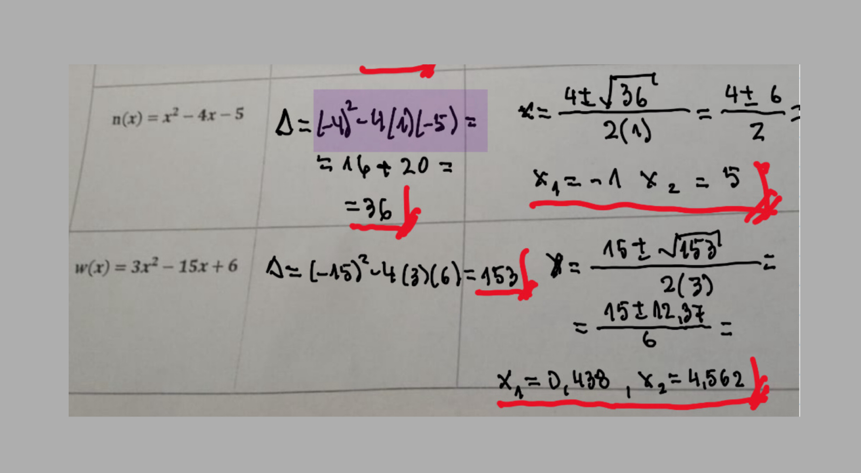
Función Cuadrática
































Sistemas de Ecuaciones

































































Cálculo II: Ayudantía 1










Inecuaciones











Guía 1: Ecuaciones Lineales





































Evaluación tipo Matemática

















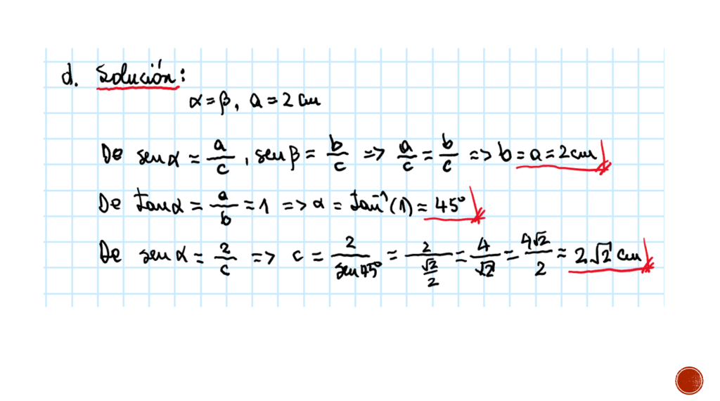
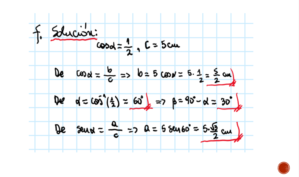
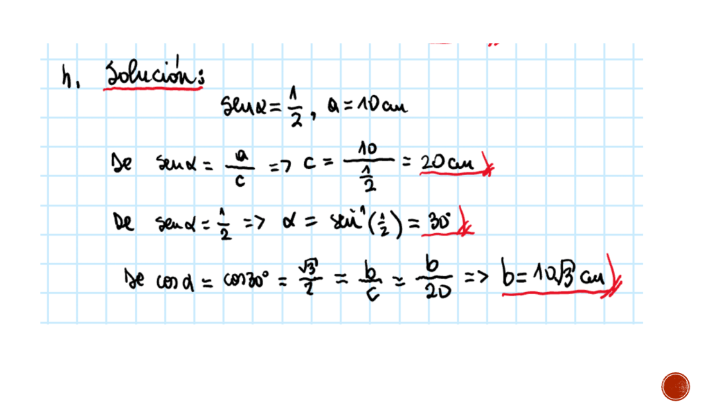
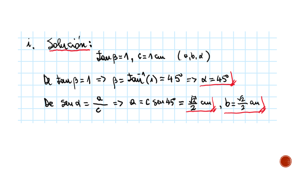
Ejercicios de Trigonometría








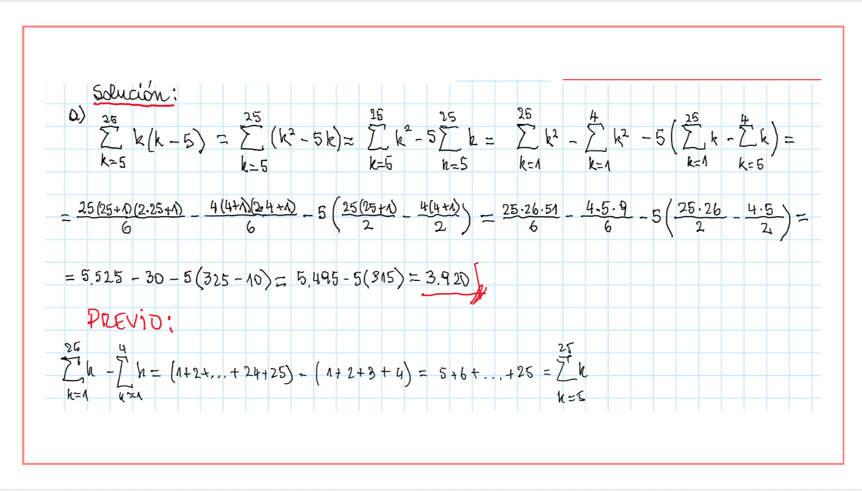
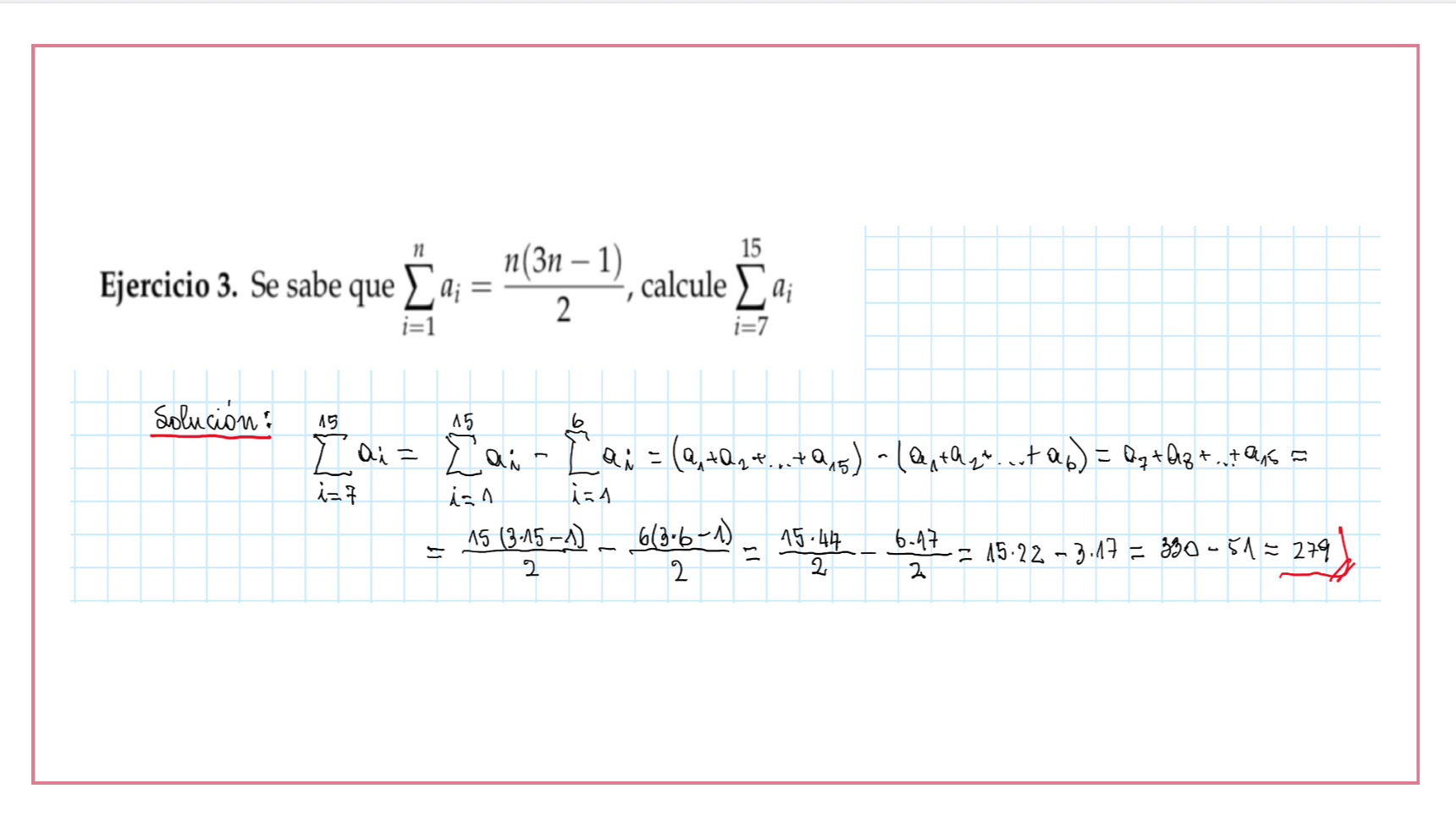
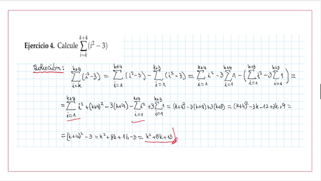
Sumatorias







Guía Nº2 Álgebra






























Guía Nº1 Álgebra
























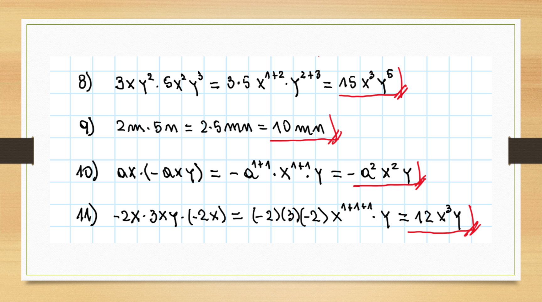
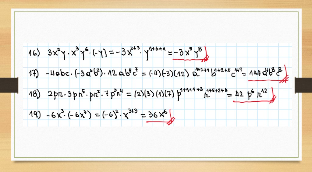
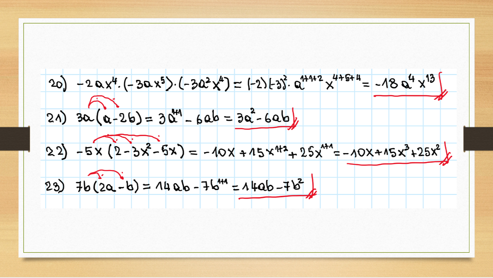
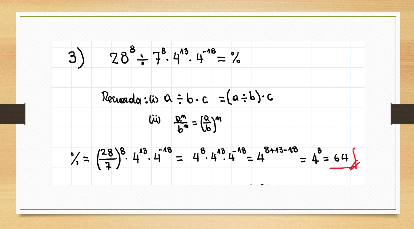
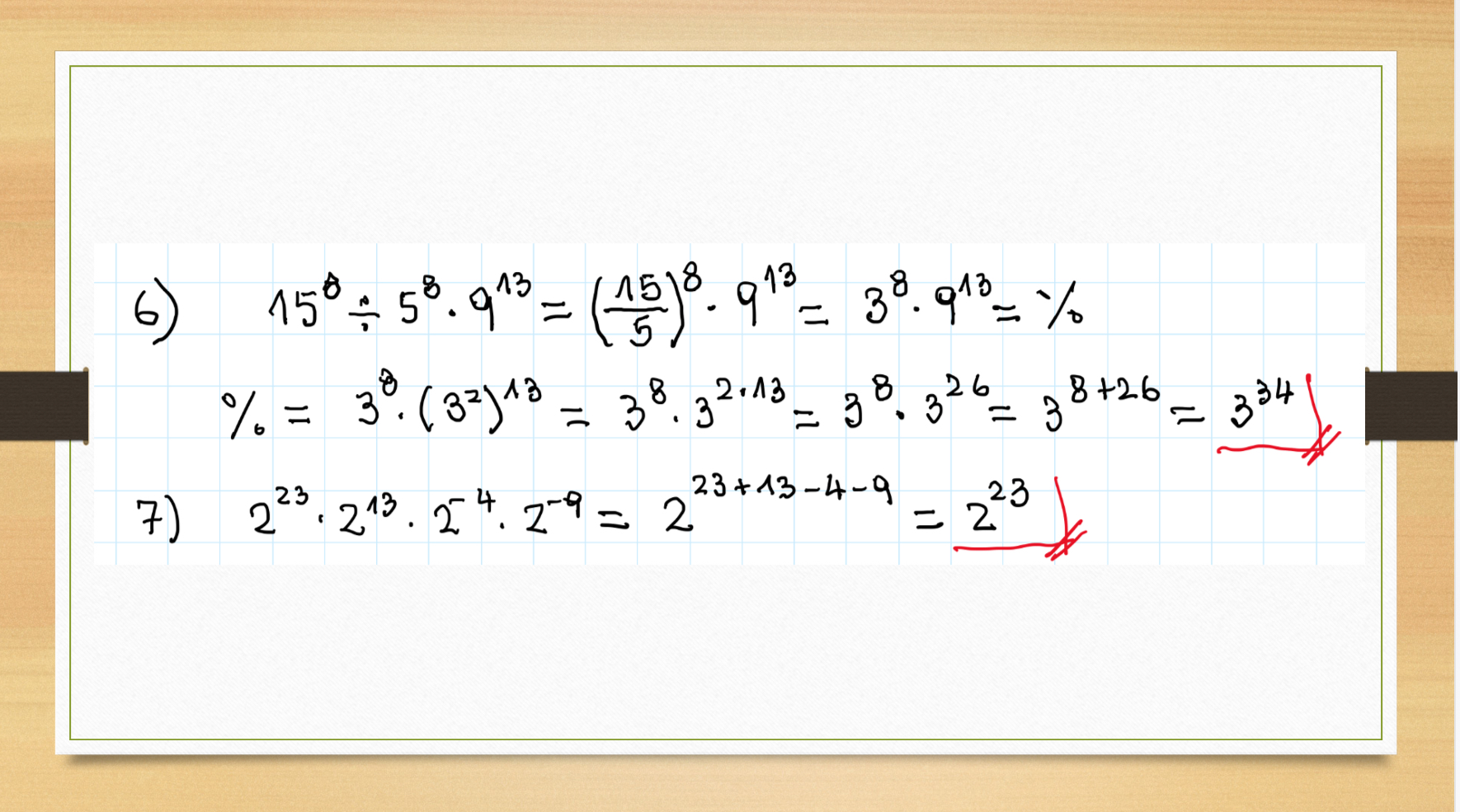
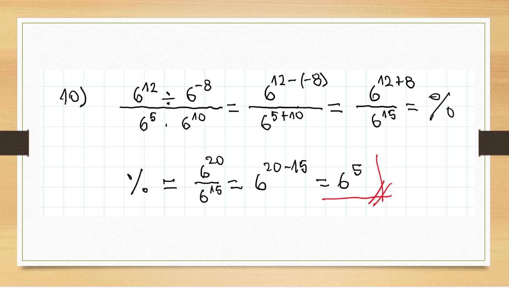
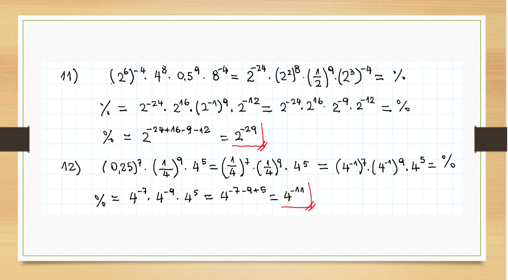
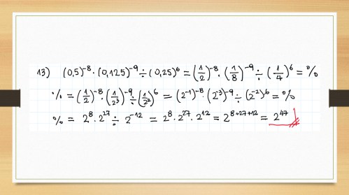
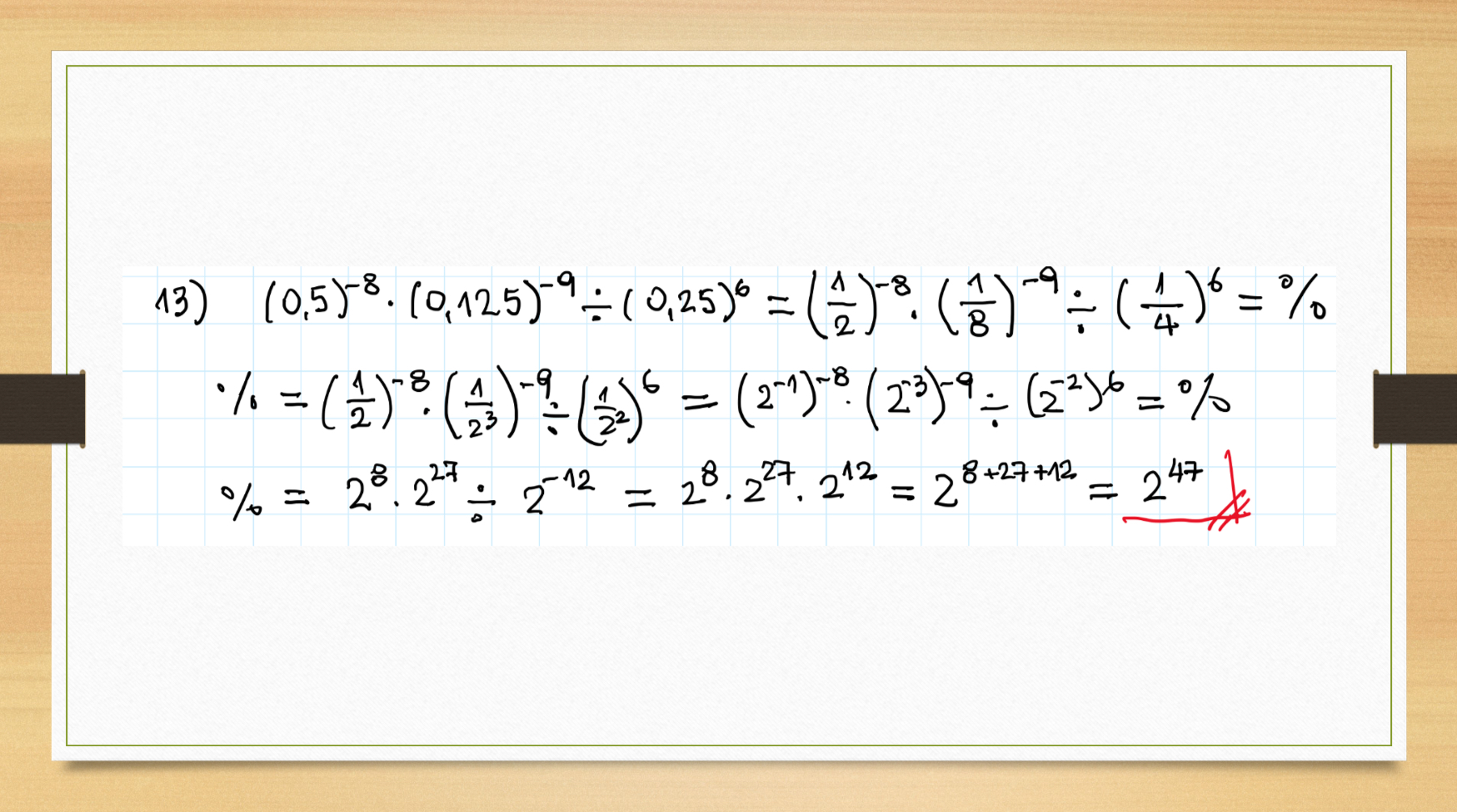
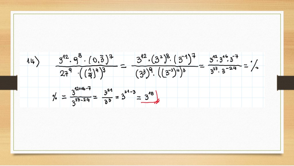
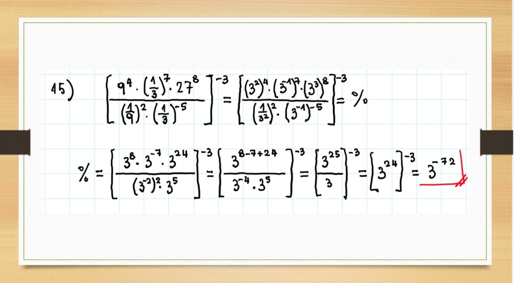
Propiedades de Potencias













Números Enteros










Ángulos en la circunferencia





































Guía de Geometría
























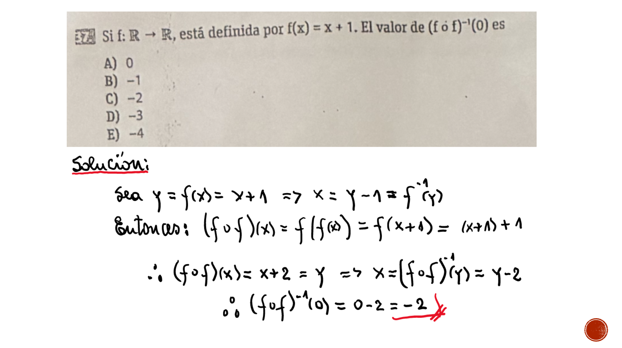
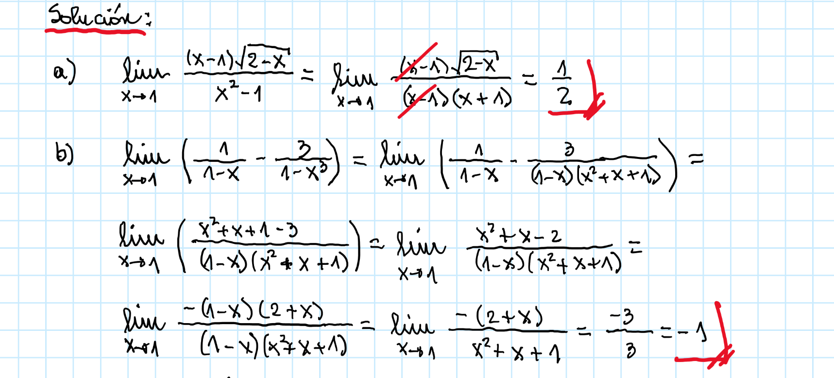
Ejercicios de Límites




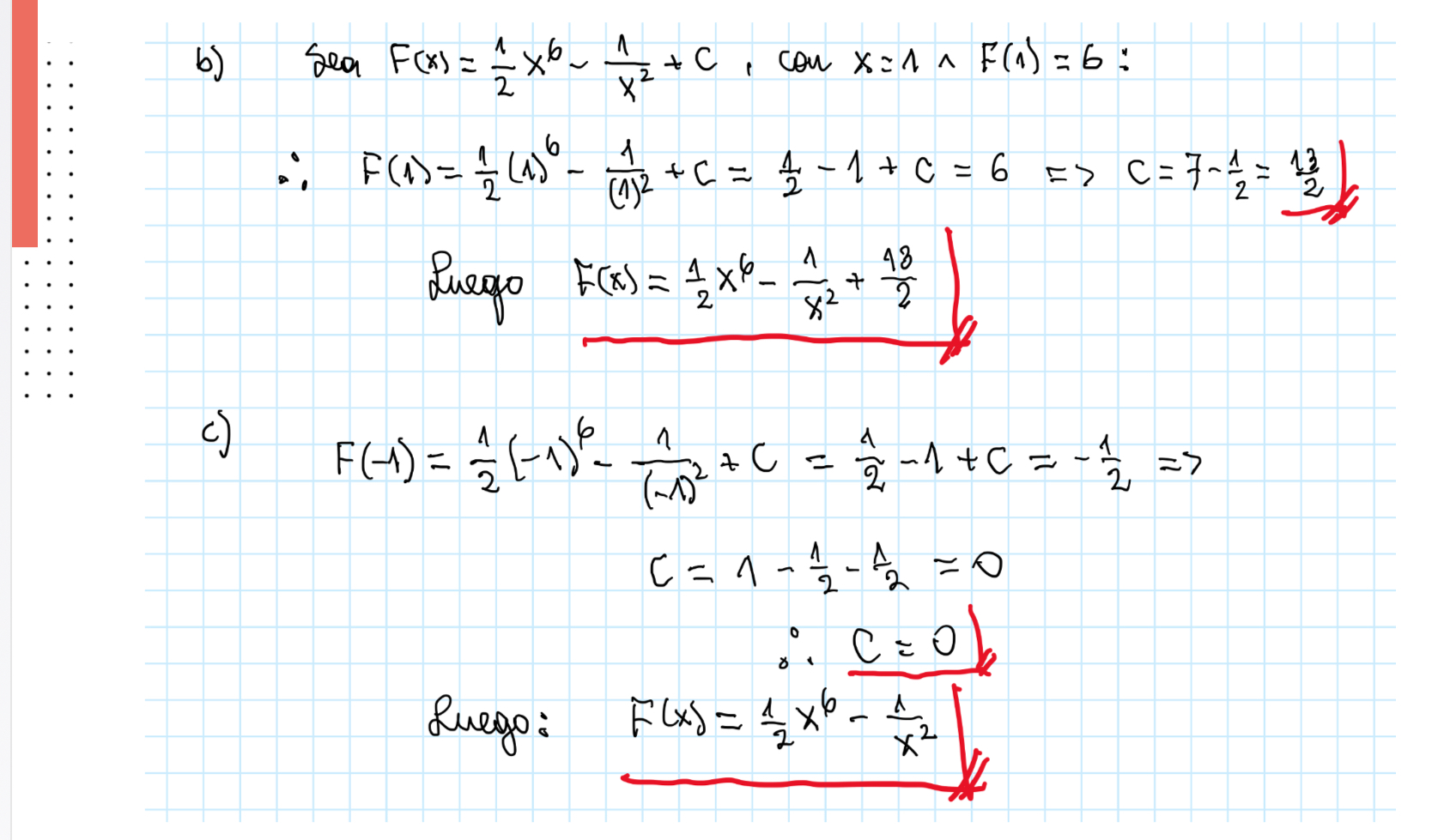
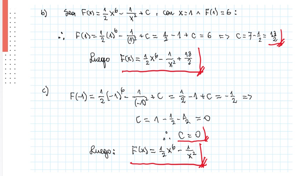
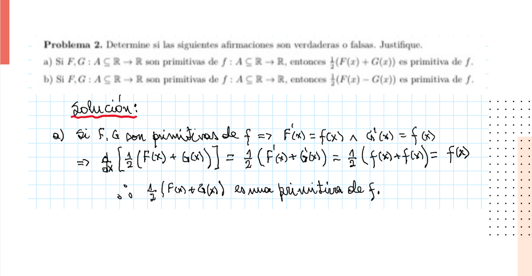
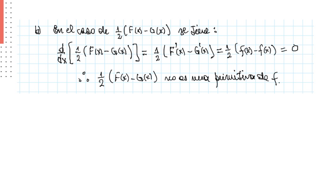
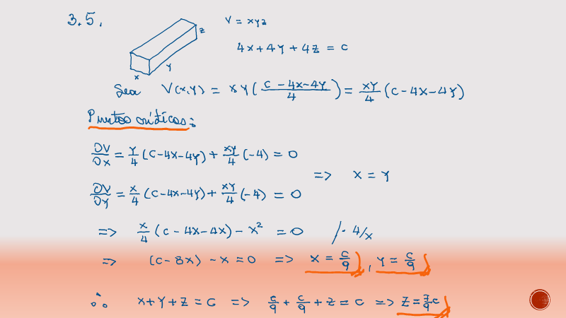
Las páginas de la entrada siguientes, se pueden ver presionando > o <



























































































































































































































































































































































































































































































































































































































































































