• Inicio
  • About
  • Álgebra Lineal
  • Apuntes de Álgebra Lineal
  • Cálculo
  • Cálculo Aplicado
  • Cinemática y Dinámica de Máquinas
  • Clases de Cálculo Integral
  • Clases de Dinámica
  • Clases de Electromagnetismo
  • Comportamiento Estructural de Materiales
  • Curso de Nivelación 2012
  • Curso de Nivelación 2013
  • Curso de Nivelación 2014
  • Curso de Nivelación 2015
  • Curso de Nivelación 2017
  • Guías de Álgebra Lineal
  • Laboratorio de Álgebra Lineal
  • Laboratorio de Electromagnetismo
  • Laboratorio de Mecánica
  • Mecánica de Fluidos I
  • Pruebas de Álgebra Lineal en INACAP
  • Resistencia de Materiales Ing. Minas (Clases)
  • Solemnes y Exámenes de la UDP

Carlos Ruz Leiva

Laboratorios, guías y pruebas de mis cursos.

Feeds:
Entradas
Comentarios

Resistencia de Materiales Ing. Minas (Clases)

Repaso de Estática

Esfuerzos y Deformación Normal

Torsión en Árboles de Sección Transversal Circular

Vigas

Fuerza Cortante y Momento Flector

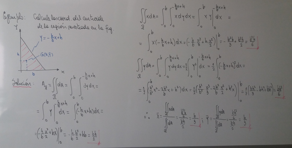
Centroides y Momentos de Inercia de Áreas Planas

Esfuerzos Normal y Cortante en Vigas

Deformación en Vigas

Comparte esto:

  • Comparte en Facebook (Se abre en una ventana nueva) Facebook
  • Compartir en X (Se abre en una ventana nueva) X
Me gusta Cargando...

  • Archivos

    • febrero 2023
    • noviembre 2021
    • julio 2021
    • junio 2021
    • mayo 2021
    • agosto 2013
    • junio 2010
    • octubre 2007
  • Páginas

    • About
    • Álgebra Lineal
    • Apuntes de Álgebra Lineal
    • Cálculo
    • Cálculo Aplicado
    • Cinemática y Dinámica de Máquinas
    • Clases de Cálculo Integral
    • Clases de Dinámica
    • Clases de Electromagnetismo
    • Comportamiento Estructural de Materiales
    • Curso de Nivelación 2012
    • Curso de Nivelación 2013
    • Curso de Nivelación 2014
    • Curso de Nivelación 2015
    • Curso de Nivelación 2017
    • Guías de Álgebra Lineal
    • Laboratorio de Álgebra Lineal
    • Laboratorio de Electromagnetismo
    • Laboratorio de Mecánica
    • Mecánica de Fluidos I
    • Pruebas de Álgebra Lineal en INACAP
    • Resistencia de Materiales Ing. Minas (Clases)
    • Solemnes y Exámenes de la UDP
  • Mis Weblogs

    • Weblog de Álgebra
    • Weblog de Álgebra Lineal
    • Weblog de Cálculo I
    • Weblog de Cálculo II
    • Weblog de Cálculo III
    • Weblog de Cálculo Numérico
    • Weblog de Ecuaciones Diferenciales
    • Weblog de Electromagnetismo
    • Weblog de Estática
    • Weblog de Laboratorio de Mecánica
    • Weblog de Resistencia de Materiales
    • WordPress.com
    • WordPress.org
  • Meta

    • Crear cuenta
    • Iniciar sesión
    • Feed de entradas
    • Feed de comentarios
    • WordPress.com
  • Blog Stats

    • 137.114 hits

Blog de WordPress.com.

WPThemes.


  • Suscribirse Suscrito
    • Carlos Ruz Leiva
    • ¿Ya tienes una cuenta de WordPress.com? Inicia sesión.
    • Carlos Ruz Leiva
    • Suscribirse Suscrito
    • Regístrate
    • Iniciar sesión
    • Copiar enlace corto
    • Denunciar este contenido
    • Ver la entrada en el Lector
    • Gestionar las suscripciones
    • Contraer esta barra
 

Cargando comentarios...
 

    %d